【药物名称】Meropenem, ICI-194660, SM-7338, Meropen, Meronem, Merrem
化学结构式(Chemical Structure):
参考文献No.634
标题:Thiopyrrolidinyl-beta-lactam derivs.
作者:Fukasawa, M.; Inoue, T.; Kato, M.; Matsumura, H.; Sunagawa, M. (Sumitomo Pharmaceuticals Co., Ltd.)
来源:EP 0126587; ES 8600305; JP 1985001186; JP 1985019787; JP 1991041066; US 4933333; US 4943569; US 5122604
合成路线图解说明:

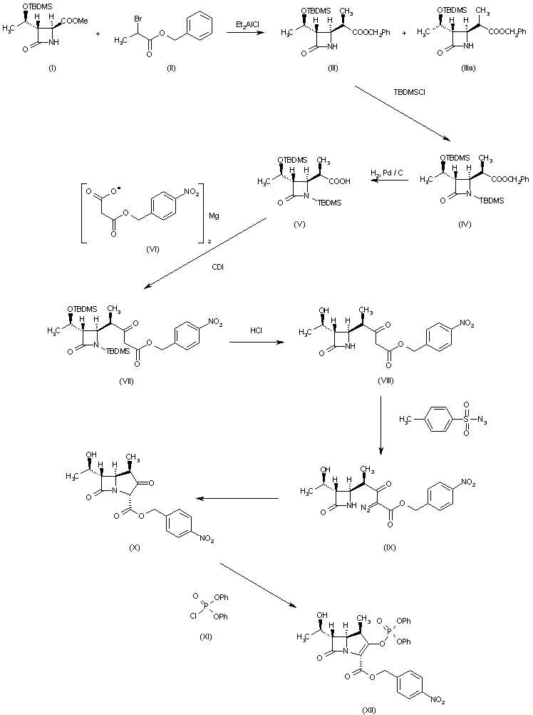
The condensation of (3R,4R)-4-acetoxy-3-[1(R)-(tert-butyldimethylsilylioxy)ethyl)azetidin-2-one (I) with benzyl 2-bromopropionate (II) by means of diethylaluminum chloride in hexane - THF gives the isomeric mixture (III), (IIIa), which is separated by column chrornatography and the correct isomer (III) is treated with tert-butyldimethylsilyl chloride to yield the silylated azetidine (IV). The reductive debenzylation of (IV) with H2 over Pd/C in methanol affords the protected free acid (V), which is condensed with magnesium 4-nitrobenzylmalonate (VI) by means of carbonyldiimidazole (CDI) in hot acetonitrile to give the protected ketoester (VII). Partial hydrolysis of (VII) with HCl in methanol affords the free ketoester (VIII), which is treated with p-toluenesulfonylazide in acetonitrile yielding the diazo compound (IX). The cyclization of (IX) by means of rhodium acetate in refluxing toluene gives 6alpha-[1(R)-hydroxyethyl)-1beta-methyl-2-oxo-1-dethia-1-carba-2-penem-3-car boxylic acid 4-nitrobenzyl ester (X), which is condensed with diphenyl chlorophosphate (XI) by means of diisopropylethylamine in acetonitrile, yielding the enol ester (XII).

合成路线图解说明:

The mercaptopyrrolidine (XIII) is prepared as follows: trans-4-hydroxy-L-proline (XV) is protected with 4-nitrobenzyl chloride (XVI) giving trans 4-hydroxy-N-(4-nitrobenzyloxycarbonyl)-L-proline (XVII), which is esterified with 4-methoxy benzyl chloride (XVIII) to the corresponding ester (XIX). The reaction of (XIX) with thioacetic acid by means of diethyl azodicarboxylate arid triphenyl-phosphine in THF affords the 4-acetylthio derivative (XX), which is partially hydrolyzed with trifluoroacetic acid and anisole to 4beta-(acetylthio)-N-(4-nitrobenzyloxycarbonyl)pyrrolidine-2beta-carboxylic acid (XXI). The condensation of (XXI) with dimethylamine by means of dicyclohexylcarbodiimide (DCC) gives the fully protected dimethylamide (XXII), which is deacetylated with NaOH in water to atford the desired product (XIII).

合成路线图解说明:

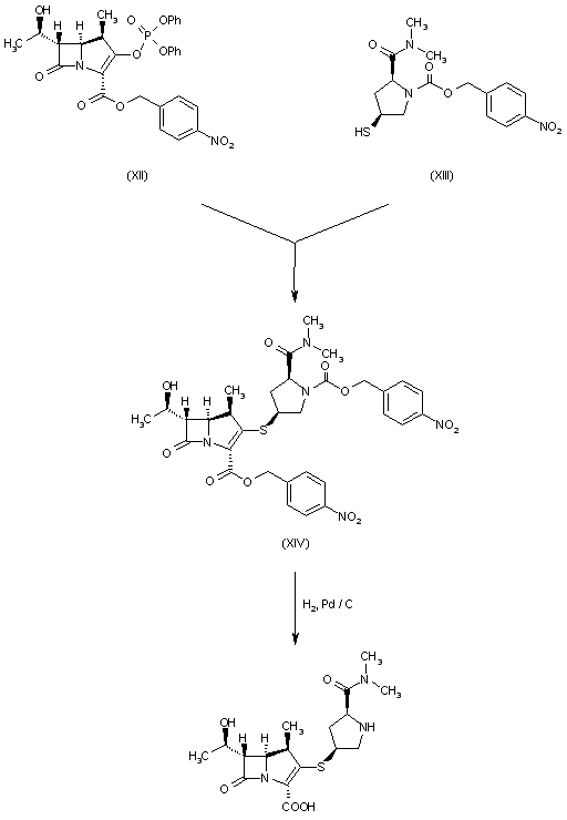
The condensation of (XII) with 1-(4-nitrobenzyloxycarbonyl)-2beta-(dimethylaminocarbonyl)-4beta-mercaptopyrrolidine (XIII) in acetonitrile affords the di(4-nitrobenzyl) derivative (XIV), which is finally debencilated by hydrogenation with H2 over Pd/C in THF.

参考文献No.63011
标题:SM-7338
作者:Prous, J.; Casta馿r, J.
来源:Drugs Fut 1988,13(6),534
合成路线图解说明:

The condensation of (3R,4R)-4-acetoxy-3-[1(R)-(tert-butyldimethylsilylioxy)ethyl)azetidin-2-one (I) with benzyl 2-bromopropionate (II) by means of diethylaluminum chloride in hexane - THF gives the isomeric mixture (III), (IIIa), which is separated by column chrornatography and the correct isomer (III) is treated with tert-butyldimethylsilyl chloride to yield the silylated azetidine (IV). The reductive debenzylation of (IV) with H2 over Pd/C in methanol affords the protected free acid (V), which is condensed with magnesium 4-nitrobenzylmalonate (VI) by means of carbonyldiimidazole (CDI) in hot acetonitrile to give the protected ketoester (VII). Partial hydrolysis of (VII) with HCl in methanol affords the free ketoester (VIII), which is treated with p-toluenesulfonylazide in acetonitrile yielding the diazo compound (IX). The cyclization of (IX) by means of rhodium acetate in refluxing toluene gives 6alpha-[1(R)-hydroxyethyl)-1beta-methyl-2-oxo-1-dethia-1-carba-2-penem-3-car boxylic acid 4-nitrobenzyl ester (X), which is condensed with diphenyl chlorophosphate (XI) by means of diisopropylethylamine in acetonitrile, yielding the enol ester (XII).

合成路线图解说明:

The mercaptopyrrolidine (XIII) is prepared as follows: trans-4-hydroxy-L-proline (XV) is protected with 4-nitrobenzyl chloride (XVI) giving trans 4-hydroxy-N-(4-nitrobenzyloxycarbonyl)-L-proline (XVII), which is esterified with 4-methoxy benzyl chloride (XVIII) to the corresponding ester (XIX). The reaction of (XIX) with thioacetic acid by means of diethyl azodicarboxylate arid triphenyl-phosphine in THF affords the 4-acetylthio derivative (XX), which is partially hydrolyzed with trifluoroacetic acid and anisole to 4beta-(acetylthio)-N-(4-nitrobenzyloxycarbonyl)pyrrolidine-2beta-carboxylic acid (XXI). The condensation of (XXI) with dimethylamine by means of dicyclohexylcarbodiimide (DCC) gives the fully protected dimethylamide (XXII), which is deacetylated with NaOH in water to atford the desired product (XIII).

合成路线图解说明:

The condensation of (XII) with 1-(4-nitrobenzyloxycarbonyl)-2beta-(dimethylaminocarbonyl)-4beta-mercaptopyrrolidine (XIII) in acetonitrile affords the di(4-nitrobenzyl) derivative (XIV), which is finally debencilated by hydrogenation with H2 over Pd/C in THF.

Drug Information Express,Drug R&D,Chemical Database,Patent Search.
Copyright © 2006-2026 Drug Future. All rights reserved.Contact Us