【药物名称】L-659699, F-244, Antibiotic 1233A, 1233A
化学结构式(Chemical Structure):
参考文献No.547759
标题:Total synthesis of the cholesterol biosynthesis inhibitor 1233A via a (Pi-allyl)tricarbonyliron lactone complex
作者:Bates, R.W.; et al.
来源:J Chem Soc - Perkins Trans I 1999,(14),1917
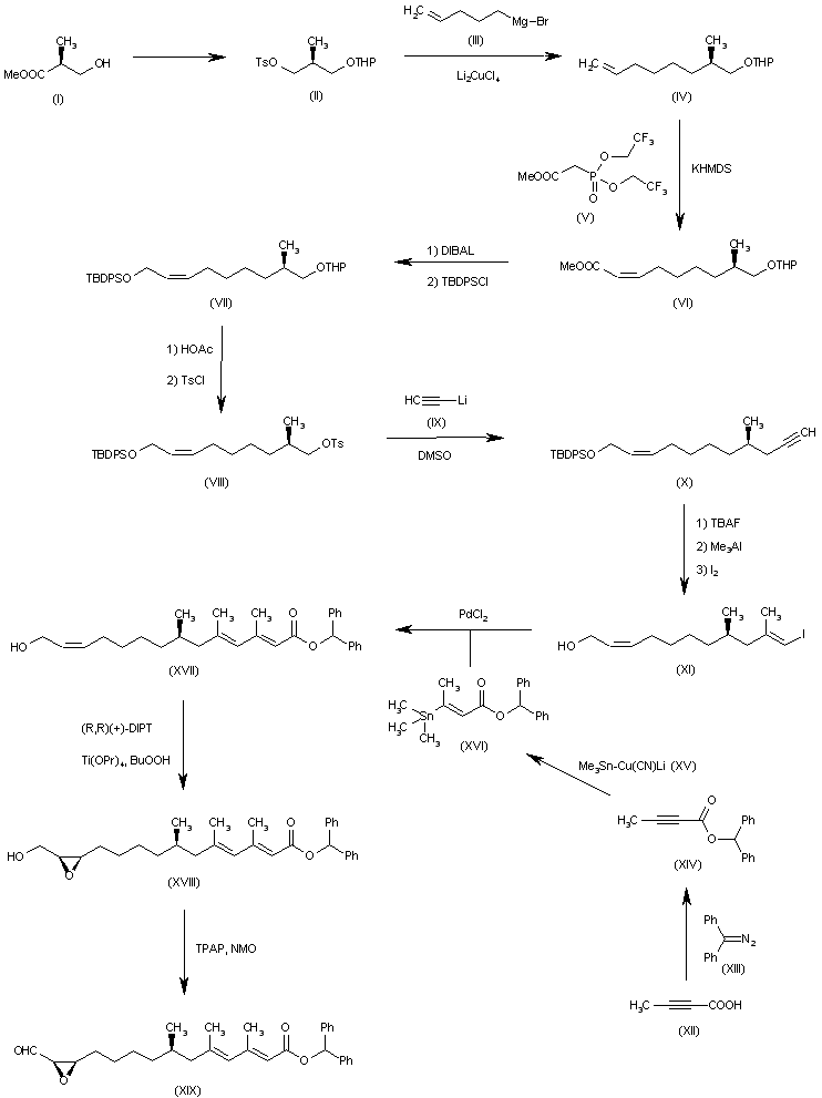
合成路线图解说明:

The intermediate stannane derivative (XVI) has been obtained as follows: The esterification of propynoic acid (XII) with diphenyldiazomethane (XIII) in benzene gives the corresponding ester (XIV), which is then condensed with Me3Sn-Cu(CN)Li (XV) in THF/methanol to yield the desired intermediate (XVI). 3-Hydroxy-2(S)-methylpropionic acid methyl ester (I) is converted into the chiral tosylate (II) by conventional methods. The condensation of (II) with 4-pentenylmagnesium bromide (III) in THF gives the chiral tetrahydropyranyl ether (IV), which is condensed with the phosphonate (V) by means of KHMDS in THF/toluene yielding the chiral nonenoic ester (VI). The reduction of (VI) with DIBAL in the same solvent, followed by protection of the resulting alcohol with TBDPSCl and TEA in dichloromethane affords the protected diol (VII). The selective elimination of the THP protecting group, followed by reaction with TsCl and TEA in dichloromethane affords the tosylate (VIII), which is condensed with lithium acetylide (IX) in DMSO to provide the terminal acetylene (X). The deprotection of (X) with TBAF, followed by reaction with Me3Al, Cp2ZrCl2, and I2 in THF gives the omega iodoundecadienol (XI), which is condensed with the stannane derivative (XVI) by means of PdCl2 in DMF yielding the tetradecatrienoic diphenylmethyl ester (XVII). The chiral epoxidation of (XVII) with Ti(OiPr)4, BuOOH and (R,R)(+)-diisopropyl tartrate (DIPT) in dichloroethane affords the hydroxymethyl-oxirane (XVIII), which is oxidized with tetrapropylammonium perruthenate (TPAP) to provide the oxirane carbaldehyde (XIX).

合成路线图解说明:

The Wittig condensation of aldehyde (XIX) with phosphonium salt (XX) by means of KHMDS in THF/toluene gives the vinyloxirane (XXI), which is treated with diiron nonacarbonyl (XXII) in THF to yield the complex (XXIII). Oxidative decomplexation of (XXIII) with CAN in CH3CN gives the vinyl-beta-lactone (XXIV), which is treated with MCPBA and K2CO3 in CH2Cl2 to yield the epoxide (XXV). The ozonolysis of (XXV), followed by reduction with NaBH4 affords the hydroxymethyl-beta-lactone (XXVI), which is deepoxidated with SmI2 in tert-butanol/THF to provide the protected final intermediate (XXVII). Finally this compound is deprotected with TFA/CH2Cl2.

Drug Information Express,Drug R&D,Chemical Database,Patent Search.
Copyright © 2006-2026 Drug Future. All rights reserved.Contact Us