【药物名称】Cetirizine hydrochloride, P-071, Alerlisin, Virlix, Reactine, Zyrtec
化学结构式(Chemical Structure):
参考文献No.3539
标题:Novel 2-[4-(diphenylmethyl)-1-piperazinyl]acetic acids and their amides, process for their preparation and pharmaceutical compsns. Containing them
作者:Baltes, E.; De Lannoy, J.; Rodriguez, L. (UCB SA)
来源:EP 0058146; US 4525358
合成路线图解说明:

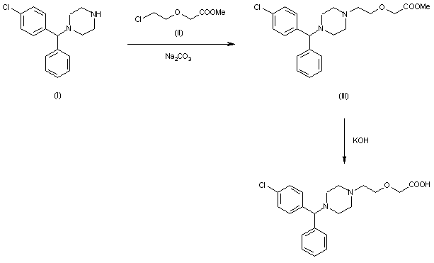
The condensation of 1-(4-chlorodiphenylmethyl)piperazine (I) with methyl 2-(2-chloroethoxy)acetate (II) by means of Na2CO3 in refluxing xylene gives methyl 2-[2-[4-(4-chlorodiphenylmethyl)-1-piperazinyl]ethoxy]acetate (III), which is then hydrolyzed with KOH tn reftuxing ethanol.

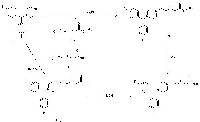
合成路线图解说明:

Efletirizine can be obtained by two similar ways: 1) The condensation of 1-[bis(4-fluorophenyl)methyl]piperazine (I) with 2-(2-chloroethoxy)acetamide (II) by means of Na2CO3 in hot xylene gives 2-[2-[4-[bis(4-fluorophenyl)methyl]piperazin-1-yl]ethoxy]acetamide (III), which is then hydrolyzed with 4N NaOH in refluxing ethanol. 2) The condensation of 1-[bis(4-fluorophenyl)methyl]piperazine (I) with 2-(2-chloroethoxy)acetic acid methyl ester (IV) by means of Na2CO3 in hot xylene gives 2-[2-[4-[bis(4-fluorophenyl)methyl]piperazin-1-yl]ethoxy]acetic acid methyl ester amide (V), which is then hydrolyzed with 1N KOH in refluxing ethanol.

参考文献No.58312
标题:Cetirizine Hydrochloride
作者:Casta馿r, J.; Serradell, M.N.; Casta馿r, R.M.
来源:Drugs Fut 1987,12(7),624
合成路线图解说明:

The condensation of 1-(4-chlorodiphenylmethyl)piperazine (I) with methyl 2-(2-chloroethoxy)acetate (II) by means of Na2CO3 in refluxing xylene gives methyl 2-[2-[4-(4-chlorodiphenylmethyl)-1-piperazinyl]ethoxy]acetate (III), which is then hydrolyzed with KOH tn reftuxing ethanol.

Drug Information Express,Drug R&D,Chemical Database,Patent Search.
Copyright © 2006-2026 Drug Future. All rights reserved.Contact Us