【药物名称】Aloperine
化学结构式(Chemical Structure):
参考文献No.540228
标题:Total synthesis of (+)-aloperine. Use of a nitrogen-bound silicon tether in a intramolecular diels - Alder reaction
作者:Brosius, A.D.; et al.
来源:J Am Chem Soc 1999,121(4),700
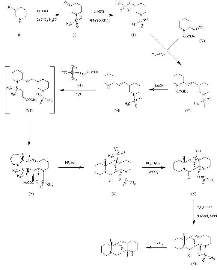
合成路线图解说明:

The acylation of 3-hydroxypiperidine with tosyl chloride followed by oxidation of the OH group with CrO3 and H2SO4 gives 1-tosylpiperidine-3-one (II), which is converted into the enol triflate (III) by reaction with LHMDS and PhN(SO2CF3)2 in THF. The condensation of (III) with 1-(tert-butoxycarbonyl)-2-vinylpiperidine (IV) by means of Pd(OAc)2 affords the diene (V), which is selectively deprotected with NaOH in methanol to afford the piperidine (VI). The condensation of (VI) with silylated methyl propenoate (VII) by means of triethylamine in dichloromethane gives the nonisolated intermediate (VIII) that cyclizes to the tetracyclic compound (IX) (as major isomer). The reaction of (IX) with HF and pyridine in refluxing dichloromethane affords the silylated tetracyclic ketone (X) (as major isomer), which is desilylated with KF, KHCO3 and H2O2 in refluxing methanol/THF providing the tetracyclic hydroxyketone (XI) (as major isomer), separated by column chromatography. Elimination of the OH group of (XI) with C6F5OC(S)-Cl, Bu3SnH and AIBN in refluxing benzdene yields the tetracyclic ketone (XII), which is finally reduced with LiAlH4 in THF.

合成路线图解说明:

Vinylpiperidine (IV): The reduction of (R)-piperidine-2-carboxylic acid (XIII) with BH3-THF gives the carbinol (XIV), which is protected at the NH group with tert-butoxycarbonyl anhydride yielding the N-protected carbinol (XV). The Swern oxidation of (XV) affords the corresponding aldehyde (XVI), which is finally condensed with trimethylphenylphosphonium bromide and potassium hexamethyldisylazane (KHMDS) in THF to provide the target intermediate (IV).

合成路线图解说明:

Silylated propenoate (VII): The reaction of 3-iodopropenoic acid methyl ester (XVII) with phenyldimethylsilyllithium and CuCN in THF gives the corresponding silylated compound (XVIII), which is then treated with trifluoromethanesulfonic acid in dichloromethane to afford the target intermediate (VII).

Drug Information Express,Drug R&D,Chemical Database,Patent Search.
Copyright © 2006-2026 Drug Future. All rights reserved.Contact Us