【药物名称】Denotivir, Wratizolin, Vratizolin, T15, ITCL
化学结构式(Chemical Structure):
参考文献No.62992
标题:Vratizolin
作者:Machon, Z.
来源:Drugs Fut 1988,13(5),426
合成路线图解说明:

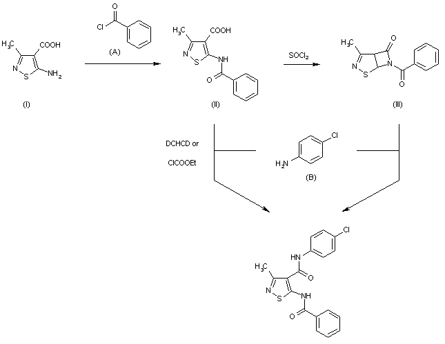
Two different routes have been described for the preparation of title compound: 1) 3-Methyl-5-aminoisothiazole-4-carboxylic acid (I) is reacted with benzoyl chloride in acetone solution and in the presence of pyridine to yield the benzamide (II), which by reaction with SOCl2 is converted to the lactam (III). The reaction of lactam (III) with p-chloroaniline in anhydrous ethanol gives the p-chlorophenylamide (vratizolin). 2) The reaction of 3-methyl-5-benzoylamino-4-isothiazolecarboxylic acid (II) with chloroformic ethyl ester gives the mixed anhydride, which, when heated with p-chloroanitine in anhydrous ethanol forms title compound. Vratizolin is also a product of the reaction of the acid (II) with p-chloroaniline in the presence of dicyclohexylcarbodiimide.

参考文献No.547115
标题:Synthesis and properties of 3-methyl-5-benzoylaminoiothiazole-4-carboxilic acid derivatives
作者:Machon, Z.
来源:Diss Pharm Pharmacol 1969,21(4),325
合成路线图解说明:

Two different routes have been described for the preparation of title compound: 1) 3-Methyl-5-aminoisothiazole-4-carboxylic acid (I) is reacted with benzoyl chloride in acetone solution and in the presence of pyridine to yield the benzamide (II), which by reaction with SOCl2 is converted to the lactam (III). The reaction of lactam (III) with p-chloroaniline in anhydrous ethanol gives the p-chlorophenylamide (vratizolin). 2) The reaction of 3-methyl-5-benzoylamino-4-isothiazolecarboxylic acid (II) with chloroformic ethyl ester gives the mixed anhydride, which, when heated with p-chloroanitine in anhydrous ethanol forms title compound. Vratizolin is also a product of the reaction of the acid (II) with p-chloroaniline in the presence of dicyclohexylcarbodiimide.

参考文献No.547116
标题:p-Chlorophenylamide of 3-methyl-5-benzoyl-aminoiso
作者:Machon, Z.
来源:Arch Immunol Ther Exp 1983,31579
合成路线图解说明:

Two different routes have been described for the preparation of title compound: 1) 3-Methyl-5-aminoisothiazole-4-carboxylic acid (I) is reacted with benzoyl chloride in acetone solution and in the presence of pyridine to yield the benzamide (II), which by reaction with SOCl2 is converted to the lactam (III). The reaction of lactam (III) with p-chloroaniline in anhydrous ethanol gives the p-chlorophenylamide (vratizolin). 2) The reaction of 3-methyl-5-benzoylamino-4-isothiazolecarboxylic acid (II) with chloroformic ethyl ester gives the mixed anhydride, which, when heated with p-chloroanitine in anhydrous ethanol forms title compound. Vratizolin is also a product of the reaction of the acid (II) with p-chloroaniline in the presence of dicyclohexylcarbodiimide.

参考文献No.604462
标题:New isothiazole derivatives. I. Relations between chemical structure and biological activities
作者:Machon, Z.; et al.
来源:Arch Immunol Ther Exp 1973,21(6),883-889
合成路线图解说明:

Two different routes have been described for the preparation of title compound: 1) 3-Methyl-5-aminoisothiazole-4-carboxylic acid (I) is reacted with benzoyl chloride in acetone solution and in the presence of pyridine to yield the benzamide (II), which by reaction with SOCl2 is converted to the lactam (III). The reaction of lactam (III) with p-chloroaniline in anhydrous ethanol gives the p-chlorophenylamide (vratizolin). 2) The reaction of 3-methyl-5-benzoylamino-4-isothiazolecarboxylic acid (II) with chloroformic ethyl ester gives the mixed anhydride, which, when heated with p-chloroanitine in anhydrous ethanol forms title compound. Vratizolin is also a product of the reaction of the acid (II) with p-chloroaniline in the presence of dicyclohexylcarbodiimide.

参考文献No.800457
标题:ITCI
作者:Kolwas, J.
来源:Drugs Fut 1981,6(8),475
合成路线图解说明:

Two different routes have been described for the preparation of title compound: 1) 3-Methyl-5-aminoisothiazole-4-carboxylic acid (I) is reacted with benzoyl chloride in acetone solution and in the presence of pyridine to yield the benzamide (II), which by reaction with SOCl2 is converted to the lactam (III). The reaction of lactam (III) with p-chloroaniline in anhydrous ethanol gives the p-chlorophenylamide (vratizolin). 2) The reaction of 3-methyl-5-benzoylamino-4-isothiazolecarboxylic acid (II) with chloroformic ethyl ester gives the mixed anhydride, which, when heated with p-chloroanitine in anhydrous ethanol forms title compound. Vratizolin is also a product of the reaction of the acid (II) with p-chloroaniline in the presence of dicyclohexylcarbodiimide.

Drug Information Express,Drug R&D,Chemical Database,Patent Search.
Copyright © 2006-2026 Drug Future. All rights reserved.Contact Us