【药物名称】Monatepil maleate, AJ-2615, AD-2615(former code)
化学结构式(Chemical Structure):
参考文献No.145825
标题:A new class of calcium antagonists. 2. Synthesis and biological activity of 11-[[4-[4-(4-fluorophenyl)-1-piperazinyl]butyryl]amino]-6,11-dihydrodibenzo[b,e]thiepin maleate and related compounds
作者:Honda, Y.; Naruto, S.; Hatano, N.; Yoshida, T.; Kurokawa, M.; Uno, H.; Sato, F.; Fujiwara, I.; Matsumoto, J.-I.
来源:J Med Chem 1991,34(3),927-34
合成路线图解说明:

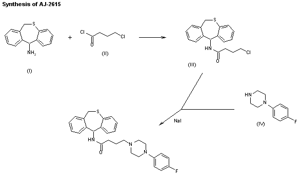
A more complete synthesis of AJ-2615 has been published: The acylation of 11-amino-6,11-dihydrodibenzo[b,e]thiepine (I) with 4-chlorobutyryl chloride (II) in refluxing toluene gives 4-chloro-N-(6,11-dihydrodibenzo[b,e]thiepin-11-yl)butyramide (III), which is then condensed with 1-(4-fluorophenyl)piperazine (IV) by means of NaI in hot DMF.

Drug Information Express,Drug R&D,Chemical Database,Patent Search.
Copyright © 2006-2026 Drug Future. All rights reserved.Contact Us