【药物名称】Zaldaride maleate, KW-5617, Zy-17617B, CGS-9343B
化学结构式(Chemical Structure):
参考文献No.6776
标题:Pyrrolo[1,2-a][4,1]benzoxazepins, process for their preparation, pharmaceutical compsns. containing them as well as therapeutic use
作者:Wasley, J.W.F.; Norman, J. (Novartis AG)
来源:EP 0233483; JP 1987169791; JP 1995089966; US 4758559
合成路线图解说明:

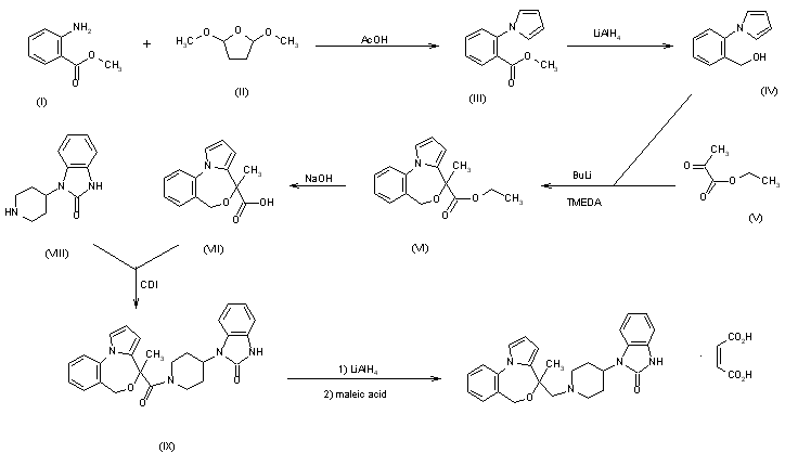
The cyclization of methyl 2-aminobenzoate (I) with 2,5-dimethoxytetrahydrofuran (II) in refluxing acetic acid gives methyl 2-(pyrrol-1-yl)benzoate (III), which by reduction with LiAlH4 in ether is converted into 2-(pyrrol-1-yl)benzyl alcohol (IV). The cyclization of (IV) with ethyl 2-oxopropionate (V) by means of butyllithium and tetramethylethylenediamine (TMEDA) in THF affords 4-methyl-4H,6H-pyrrolo[1,2-a][4,1]benzoxazepine-4-carboxylic acid ethyl ester (VI), which is hydrolyzed with NaOH in refluxing ethanol to the corresponding free acid (VII). The condensation of (VII) with 1-(piperidin-4-yl)-2,3-dihydro-1H-benzimidazol-2-one (VIII) by means of carbonyldiimidazol (CDI) in THF gives 1-[1-(4-methyl-4H,6H-pyrrolo[1,2-a][4,1]benzoxazepin-4-ylcarbonyl) piperidin-4-yl]-2,3-dihydro-1H-benzimidazol-2-one (IX), which is finally reduced with LiAlH4 in THF, and treated with maleic acid in acetone.

参考文献No.362863
标题:Zaldaride Maleate
作者:Robinson, C.; Robinson, K.; Casta馿r, J.
来源:Drugs Fut 1996,21(7),719
合成路线图解说明:

The cyclization of methyl 2-aminobenzoate (I) with 2,5-dimethoxytetrahydrofuran (II) in refluxing acetic acid gives methyl 2-(pyrrol-1-yl)benzoate (III), which by reduction with LiAlH4 in ether is converted into 2-(pyrrol-1-yl)benzyl alcohol (IV). The cyclization of (IV) with ethyl 2-oxopropionate (V) by means of butyllithium and tetramethylethylenediamine (TMEDA) in THF affords 4-methyl-4H,6H-pyrrolo[1,2-a][4,1]benzoxazepine-4-carboxylic acid ethyl ester (VI), which is hydrolyzed with NaOH in refluxing ethanol to the corresponding free acid (VII). The condensation of (VII) with 1-(piperidin-4-yl)-2,3-dihydro-1H-benzimidazol-2-one (VIII) by means of carbonyldiimidazol (CDI) in THF gives 1-[1-(4-methyl-4H,6H-pyrrolo[1,2-a][4,1]benzoxazepin-4-ylcarbonyl) piperidin-4-yl]-2,3-dihydro-1H-benzimidazol-2-one (IX), which is finally reduced with LiAlH4 in THF, and treated with maleic acid in acetone.

Drug Information Express,Drug R&D,Chemical Database,Patent Search.
Copyright © 2006-2026 Drug Future. All rights reserved.Contact Us