【药物名称】FR-62732, FR-062732
化学结构式(Chemical Structure):
参考文献No.6745
标题:N-Containing fused heterocyclic cpds., processes for the preparation thereof and pharmaceutical compsn. comprising the same
作者:Matsuo, M.; Nakaguchi, O.; Okumura, H.; Tsuji, K.; Ueda, I. (Fujisawa Pharmaceutical Co., Ltd.)
来源:EP 0232740; JP 1987181253; US 4797399
合成路线图解说明:

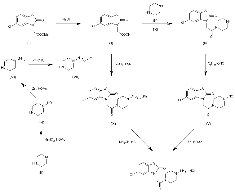
This compound has been obtained by two related ways: 1) The saponification of 2-(5-chloro-2-oxobenzothiazolin-3-yl)acetic acid methyl ester (I) with NaOH in methanol/water gives the corresponding free acid (II), which is condensed with piperazine (III) by means of TiCl4 in THF yielding the acyl piperazine (IV). The nitrosation of (IV) with isoamyl nitrite in dichloromethane affords the N-nitrosopiperazine (V), which is finally reduced with Zn and acetic acid to the target amino derivative. 2) The nitrosation of piperazine (III) with NaNO2 and acetic acid gives 1-nitrosopiperazine (VI), which is reduced with Zn and acetic acid to 1-aminopiperazine (VII). The reaction of (VII) with benzaldehyde affords 1-(benzylideneamino)piperazine (VIII), which is condensed with of 2-(5-chloro-2-oxobenzothiazolin-3-yl)acetic acid (II) by means of SOCl2 and triethylamine in dichloromethane yielding the acyl piperazine (IX). Finally, this compound is debenzylated with hydroxylamine and HCl in acetonitrile/water.

参考文献No.567287
标题:Process development of a platelet aggregation inhibitor
作者:Zanka, A.; et al.
来源:Org Process Res Dev 1998,2(6),418
合成路线图解说明:

This compound has been obtained by two related ways: 1) The saponification of 2-(5-chloro-2-oxobenzothiazolin-3-yl)acetic acid methyl ester (I) with NaOH in methanol/water gives the corresponding free acid (II), which is condensed with piperazine (III) by means of TiCl4 in THF yielding the acyl piperazine (IV). The nitrosation of (IV) with isoamyl nitrite in dichloromethane affords the N-nitrosopiperazine (V), which is finally reduced with Zn and acetic acid to the target amino derivative. 2) The nitrosation of piperazine (III) with NaNO2 and acetic acid gives 1-nitrosopiperazine (VI), which is reduced with Zn and acetic acid to 1-aminopiperazine (VII). The reaction of (VII) with benzaldehyde affords 1-(benzylideneamino)piperazine (VIII), which is condensed with of 2-(5-chloro-2-oxobenzothiazolin-3-yl)acetic acid (II) by means of SOCl2 and triethylamine in dichloromethane yielding the acyl piperazine (IX). Finally, this compound is debenzylated with hydroxylamine and HCl in acetonitrile/water.

Drug Information Express,Drug R&D,Chemical Database,Patent Search.
Copyright © 2006-2026 Drug Future. All rights reserved.Contact Us