【药物名称】Olprinone hydrochloride, Loprinone hydrochloride, E-1020, Coretec
化学结构式(Chemical Structure):
参考文献No.5290
标题:5-(6-Imidazo[1,2-a]pyridyl)pyridine derivs.
作者:Miyake, K.; Ohhara, H.; Suda, S.; Toshiaki, O.; Yamanaka, M. (Eisai Co., Ltd.)
来源:EP 0199127; ES 8706146; ES 8708230; ES 8708231; ES 8801654; ES 8801655; JP 1986218589; US 4751227
合成路线图解说明:

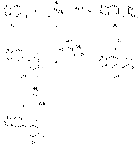
1) The condensation of 6-bromoimidazo[1,2-a]-pyridine (I) with 2-(chloromethyl)propene (II) by means of Mg and ethyl bromide in THF gives 6-(2-methyl-2-propenyl)imidazo[1,2-a]pyridine (III), which is ozonolyzed with O3 yielding 1-(imidazo[1,2-a]-pyridin-6-yl)-2-propanone (IV). The condensation of (IV) with dimethylformamide dimethylketal (V) in hot DMF affords 4-(dimethylamino)-3-(imidazo[1,2-a]-pyridin-6-yl)-3-buten-2-one (IV), which is finally cyclized with 2-cyanoacetamide (VII) by means of sodium methoxide in hot DMF.

合成路线图解说明:

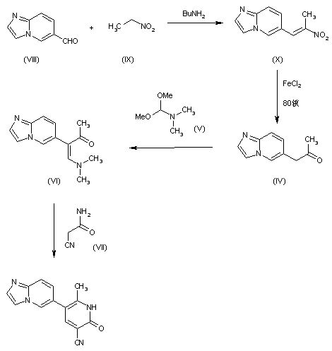
2) The condensation of imidazo[1,2-a]pyridine-6-carboxaldehyde (VIII) with nitroethane (IX) by means of butylamine in refluxing ethanol gives 6-(2-nitro-1-propenyl)imidazo[1,2-a]pyridine (X), which is treated with FeCl2 and concentrated HCl in refluxing ethanol to afford propanone (IV), already obtained.

参考文献No.63013
标题:E-1020
作者:Prous, J.; Casta馿r, J.
来源:Drugs Fut 1988,13(6),514
合成路线图解说明:

1) The condensation of 6-bromoimidazo[1,2-a]-pyridine (I) with 2-(chloromethyl)propene (II) by means of Mg and ethyl bromide in THF gives 6-(2-methyl-2-propenyl)imidazo[1,2-a]pyridine (III), which is ozonolyzed with O3 yielding 1-(imidazo[1,2-a]-pyridin-6-yl)-2-propanone (IV). The condensation of (IV) with dimethylformamide dimethylketal (V) in hot DMF affords 4-(dimethylamino)-3-(imidazo[1,2-a]-pyridin-6-yl)-3-buten-2-one (IV), which is finally cyclized with 2-cyanoacetamide (VII) by means of sodium methoxide in hot DMF.

合成路线图解说明:

2) The condensation of imidazo[1,2-a]pyridine-6-carboxaldehyde (VIII) with nitroethane (IX) by means of butylamine in refluxing ethanol gives 6-(2-nitro-1-propenyl)imidazo[1,2-a]pyridine (X), which is treated with FeCl2 and concentrated HCl in refluxing ethanol to afford propanone (IV), already obtained.

参考文献No.156658
标题:Imidazo[1,2-a]pyridines. I. Synthesis and inotropic activity of new 5-imidazo[1,2-a]pyridinyl-2(1H)-pyridinone derivatives
作者:Yamanaka, M.; Miyake, K.; Suda, S.; Ohhara, H.; Ogawa, T.
来源:Chem Pharm Bull 1991,39(6),1556-67
合成路线图解说明:

Three related new synthetic routes for E-1020 have been reported: 1) The cyclization of 2-bromoacetaldehyde diethylacetal (I) with 2-aminopyridine-5-carboxylic acid methyl ester (II) by means of HCl in hot water gives imidazo[1,2-a]pyridine-6-carboxylic acid methyl ester (III), which is reduced with dibutylaluminum hydride in dichloromethane to the corresponding aldehyde (IV). The condensation of (IV) with nitroethane (V) by means of butylamine in refluxing ethanol affords 6-(2-nitro-1-propenyl)imidazo[1,2-a]pyridine (VI), which is treated with Fe-FeCl2-HCl in hot ethanol-water to give 1-(imidazo[1,2-a]pyridyl-6-yl)-2-propanone (VII). The condensation of (VII) with dimethylformamide dimethylacetal (VIII) in hot DMF yields 4-(dimethylamino)-3-(imidazo[1,2-a]pyridin-6-yl)-3-buten-2-one (IX), which is finally cyclized with cyanacetamide (X) by means of sodium methoxide in hot DMF. 2) The cyclization of acetal (I) with 2-amino-5-bromopyridine (XI) as before gives 6-bromoimidazo[1,2-a]pyridine (XII), which is condensed with potassium acetylacetonate (XIII) by means of KI and Cu2I2 in hot DMF yielding the adduct (XIV). The cleavage of (XIV) with NaOH and then with HCl gives the propanone (VII), already obtained. 3) The condensation of the bromo derivative (XII) with 3-chloro-2-methylpropene (XV) by means of ethylmagnesium bromide in hot THF gives 6-isobutenylimidazo[1,2-a]pyridine (XVI), which is ozonolyzed with O3 in methanol-water-HCl to yield the propanone (VII), already obtained.

Drug Information Express,Drug R&D,Chemical Database,Patent Search.
Copyright © 2006-2026 Drug Future. All rights reserved.Contact Us