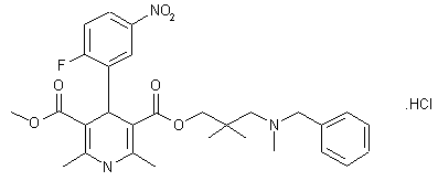
【药物名称】Palonidipine hydrochloride, TC-81
化学结构式(Chemical Structure):
参考文献No.932
标题:1,4-Dihydropyridine derivs., process for production thereof and pharmaceutical use thereof
作者:Yamaguchi, H.; Odamiya, Y.; Kanno, H.; Sunakawa, K. (Teijin Ltd.)
来源:EP 0128010; JP 1984222474; JP 1984227859; JP 1985104065; US 4578395
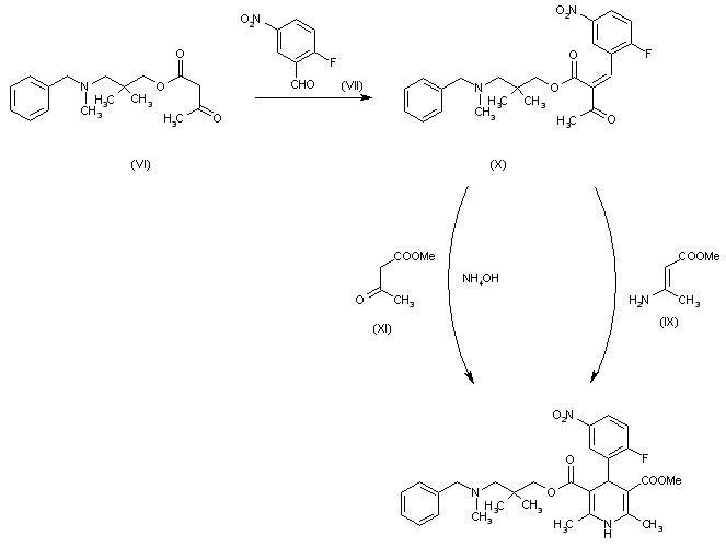
合成路线图解说明:

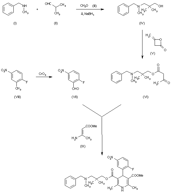
1) The reaction of N-methyl-N-benzylamine (I) with isobutyraldehyde (II) and formaldehyde (III) in refluxing isopropanol, followed by hydrogenation with NaBH4 gives 3-(N-benzyl-N-methylamino)-2,2-dimethylpropanol (IV), which is condensed with diketene (V) in refluxing benzene to yield 3-(N-benzyl-N-methylamino)-2,2-dimethylpropyl acetoacetate (VI). Finally, this compound is submitted to cyclization with 2-fluoro-5-nitrobenzeldehyde (VII) (prepared by oxidation of 2-fluoro-5-nitrotoluene (VIII) with CrO3 in acetic ahydride-H2SO4) and methyl 3-aminocrotonate (IX) in refluxing isopropanol.

合成路线图解说明:

2) The condensation of acetoacetic ester (VI) with aldehyde (VII) gives the benzylidene derivative (X), which is then submitted to cyclization with crotonate (IX) as before. 3) Finally, the title product can also be obtained by cyclization of benzylidene derivative (X) with methyl acetoacetate (XI) and concentrated aqueous ammonia in refluxing isopropanol.

参考文献No.76622
标题:TC-81
作者:Prous, J.; Casta馿r, J.
来源:Drugs Fut 1989,14(3),239
合成路线图解说明:

1) The reaction of N-methyl-N-benzylamine (I) with isobutyraldehyde (II) and formaldehyde (III) in refluxing isopropanol, followed by hydrogenation with NaBH4 gives 3-(N-benzyl-N-methylamino)-2,2-dimethylpropanol (IV), which is condensed with diketene (V) in refluxing benzene to yield 3-(N-benzyl-N-methylamino)-2,2-dimethylpropyl acetoacetate (VI). Finally, this compound is submitted to cyclization with 2-fluoro-5-nitrobenzeldehyde (VII) (prepared by oxidation of 2-fluoro-5-nitrotoluene (VIII) with CrO3 in acetic ahydride-H2SO4) and methyl 3-aminocrotonate (IX) in refluxing isopropanol.

合成路线图解说明:

2) The condensation of acetoacetic ester (VI) with aldehyde (VII) gives the benzylidene derivative (X), which is then submitted to cyclization with crotonate (IX) as before. 3) Finally, the title product can also be obtained by cyclization of benzylidene derivative (X) with methyl acetoacetate (XI) and concentrated aqueous ammonia in refluxing isopropanol.

参考文献No.188612
标题:Synthesis and antihypertensive activity of 1,4-dihydropyridine derivatives with a 4-(disubstituted phenyl)ring and an aminoalkyl ester group: Highly potent and long-lasting calcium antagonists
作者:Kanno, H.; Yamaguchi, H.; Okamiya, Y.; Sunakawa, K.; Takeshita, T.; Naruchi, T.
来源:Chem Pharm Bull 1992,40(8),2049
合成路线图解说明:

A new synthesis for TC-81 has been described: By condensation of 2-(2-fluoro-5-nitrobenzylidene)acetoacetic acid methyl ester (I) with 3-aminocrotonic acid 3-(N-benzyl-N-methylamino)-2,2-dimethylpropyl ester (II) by means of triethylamine in refluxing isopropanol. The starting products (I) and (II) are prepared as follows: The condensation of 2-fluoro-5-nitrobenzaldehyde (III) with methylacetoacetate (IV) by means of HCl in toluene gives the benzylidene derivative (I). The condensation of 3-(N-benzyl-N-methylamino)-2,2-dimethylpropanol (V) with diketene (VI) in hot benzene gives the acetoacetic ester (VII), which is treated with gaseous ammonia in ethanol, yielding crotonate (III).

Drug Information Express,Drug R&D,Chemical Database,Patent Search.
Copyright © 2006-2026 Drug Future. All rights reserved.Contact Us