【药物名称】Zopolrestat, CP-73850, Alond, Xedia
化学结构式(Chemical Structure):
参考文献No.6269
标题:Heterocyclic oxophthalazinylacetic acids
作者:Mylari, B.L.; Larson, E.R.; Zembrowski, W.J. (Pfizer Inc.)
来源:EP 0222576; JP 1987114988; US 4939140
合成路线图解说明:

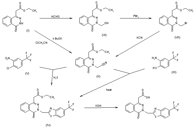
Zopolrestat can be obtained by several different ways: 1) The reaction of 2-(4-oxo-3,4-dihydrophthalazin-1-yl)acetic acid ethyl ester (I) with 2-chloroacetonitrile by means of potassium tert-butoxide in DMF gives 2-[3-(cyanomethyl)-4-oxo-3,4-dihydrophthalazin-1-yl]acetic acid ethyl ester (II), which is cyclized with 2-amino-4-(trifluoromethyl)thiophenol (III) in refluxing ethanol yielding zopolrestat ethyl ester (IV). Finally, this compound is hydrolyzed with KOH in methanol/water/THF. 2) Compound (IV) can also be obtained by cyclization of (II) with 4-chloro-3-nitrobenzotrifluoride (V) in hot DMF saturated with H2S. 3) Compound (II) can also be obtained as follows: The reaction of phthalazine (I) with aqueous formaldehyde gives 2-[3-(hydroxymethyl)-4-oxo-3,4-dihydrophthalazin-1-yl]acetic acid ethyl ester (VI), which is treated with PBr3 in ethyl ether yielding the bromomethyl derivative (VII). Finally, this compound is treated with potassium cyanide and KI in acetone/water.

合成路线图解说明:

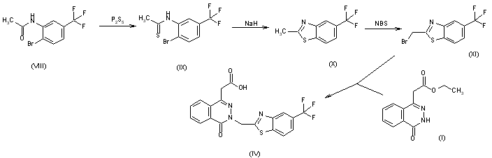
5) Esterified intermediate (IV) can also be obtained as follows: The reaction of 2-bromo-5-(trifluoromethyl)acetanilide (VIII) with phosphorus pentasulfide in refluxing benzene gives the corresponding thioamide (IX), which is cyclized by means of NaH in hot N-methylpyrrolidone yielding 2-methyl-5-(trifluoromethyl)benzothiazole (X). The bromination of (X) with N-bromosuccinimide (NBS) and benzoyl peroxide in refluxing CCl4 affords the corresponding bromomethyl derivative (XI), which is then condensed with phthalazinone (I) by means of NaH in DMF.

参考文献No.14929
标题: Preparation of oxophthalazinyl acetic acids having benzothiazole or other heterocyclic side chains
作者:Mylari, B.L.; Zembrowski, W.J. (Pfizer Inc.)
来源:EP 0295051
合成路线图解说明:

Zopolrestat can be obtained by several different ways: 1) The reaction of 2-(4-oxo-3,4-dihydrophthalazin-1-yl)acetic acid ethyl ester (I) with 2-chloroacetonitrile by means of potassium tert-butoxide in DMF gives 2-[3-(cyanomethyl)-4-oxo-3,4-dihydrophthalazin-1-yl]acetic acid ethyl ester (II), which is cyclized with 2-amino-4-(trifluoromethyl)thiophenol (III) in refluxing ethanol yielding zopolrestat ethyl ester (IV). Finally, this compound is hydrolyzed with KOH in methanol/water/THF. 2) Compound (IV) can also be obtained by cyclization of (II) with 4-chloro-3-nitrobenzotrifluoride (V) in hot DMF saturated with H2S. 3) Compound (II) can also be obtained as follows: The reaction of phthalazine (I) with aqueous formaldehyde gives 2-[3-(hydroxymethyl)-4-oxo-3,4-dihydrophthalazin-1-yl]acetic acid ethyl ester (VI), which is treated with PBr3 in ethyl ether yielding the bromomethyl derivative (VII). Finally, this compound is treated with potassium cyanide and KI in acetone/water.

合成路线图解说明:

5) Esterified intermediate (IV) can also be obtained as follows: The reaction of 2-bromo-5-(trifluoromethyl)acetanilide (VIII) with phosphorus pentasulfide in refluxing benzene gives the corresponding thioamide (IX), which is cyclized by means of NaH in hot N-methylpyrrolidone yielding 2-methyl-5-(trifluoromethyl)benzothiazole (X). The bromination of (X) with N-bromosuccinimide (NBS) and benzoyl peroxide in refluxing CCl4 affords the corresponding bromomethyl derivative (XI), which is then condensed with phthalazinone (I) by means of NaH in DMF.

参考文献No.140857
标题:Novel, potent aldose reductase inhibitors: 3,4-Dihydro-4-oxo-3-[[5-(trifluoromethyl)-2-benzothiazolyl]methyl]-1-phthalazine-acetic acid (zopolrestat) and congeners
作者:Siegel, T.W.; Aldinger, C.E.; Mylari, B.L.; Singleton, D.H.; Zembrowski, W.J.; Larson, E.R.; Beyer, T.A.; Dee, M.F.
来源:J Med Chem 1991,34(1),108-22
合成路线图解说明:

Zopolrestat can be obtained by several different ways: 1) The reaction of 2-(4-oxo-3,4-dihydrophthalazin-1-yl)acetic acid ethyl ester (I) with 2-chloroacetonitrile by means of potassium tert-butoxide in DMF gives 2-[3-(cyanomethyl)-4-oxo-3,4-dihydrophthalazin-1-yl]acetic acid ethyl ester (II), which is cyclized with 2-amino-4-(trifluoromethyl)thiophenol (III) in refluxing ethanol yielding zopolrestat ethyl ester (IV). Finally, this compound is hydrolyzed with KOH in methanol/water/THF. 2) Compound (IV) can also be obtained by cyclization of (II) with 4-chloro-3-nitrobenzotrifluoride (V) in hot DMF saturated with H2S. 3) Compound (II) can also be obtained as follows: The reaction of phthalazine (I) with aqueous formaldehyde gives 2-[3-(hydroxymethyl)-4-oxo-3,4-dihydrophthalazin-1-yl]acetic acid ethyl ester (VI), which is treated with PBr3 in ethyl ether yielding the bromomethyl derivative (VII). Finally, this compound is treated with potassium cyanide and KI in acetone/water.

合成路线图解说明:

5) Esterified intermediate (IV) can also be obtained as follows: The reaction of 2-bromo-5-(trifluoromethyl)acetanilide (VIII) with phosphorus pentasulfide in refluxing benzene gives the corresponding thioamide (IX), which is cyclized by means of NaH in hot N-methylpyrrolidone yielding 2-methyl-5-(trifluoromethyl)benzothiazole (X). The bromination of (X) with N-bromosuccinimide (NBS) and benzoyl peroxide in refluxing CCl4 affords the corresponding bromomethyl derivative (XI), which is then condensed with phthalazinone (I) by means of NaH in DMF.

参考文献No.279128
标题:Zopolrestat
作者:Mealy, N.; Prous, J.; Casta馿r, J.
来源:Drugs Fut 1995,20(1),33
合成路线图解说明:

Zopolrestat can be obtained by several different ways: 1) The reaction of 2-(4-oxo-3,4-dihydrophthalazin-1-yl)acetic acid ethyl ester (I) with 2-chloroacetonitrile by means of potassium tert-butoxide in DMF gives 2-[3-(cyanomethyl)-4-oxo-3,4-dihydrophthalazin-1-yl]acetic acid ethyl ester (II), which is cyclized with 2-amino-4-(trifluoromethyl)thiophenol (III) in refluxing ethanol yielding zopolrestat ethyl ester (IV). Finally, this compound is hydrolyzed with KOH in methanol/water/THF. 2) Compound (IV) can also be obtained by cyclization of (II) with 4-chloro-3-nitrobenzotrifluoride (V) in hot DMF saturated with H2S. 3) Compound (II) can also be obtained as follows: The reaction of phthalazine (I) with aqueous formaldehyde gives 2-[3-(hydroxymethyl)-4-oxo-3,4-dihydrophthalazin-1-yl]acetic acid ethyl ester (VI), which is treated with PBr3 in ethyl ether yielding the bromomethyl derivative (VII). Finally, this compound is treated with potassium cyanide and KI in acetone/water.

合成路线图解说明:

5) Esterified intermediate (IV) can also be obtained as follows: The reaction of 2-bromo-5-(trifluoromethyl)acetanilide (VIII) with phosphorus pentasulfide in refluxing benzene gives the corresponding thioamide (IX), which is cyclized by means of NaH in hot N-methylpyrrolidone yielding 2-methyl-5-(trifluoromethyl)benzothiazole (X). The bromination of (X) with N-bromosuccinimide (NBS) and benzoyl peroxide in refluxing CCl4 affords the corresponding bromomethyl derivative (XI), which is then condensed with phthalazinone (I) by means of NaH in DMF.

参考文献No.283509
标题:Synthesis of aldose reductase inhibitor, 3,4-dihydro-4-oxo-3-[[5-(trifluoromethyl)-2 14C benzothiazolyl]methyl]-1-phthalazineacetic acid
作者:Mylari, B.L.; Zembrowski, W.J.
来源:J Label Compd Radiopharm 1991,29(2),143-8
合成路线图解说明:

Zopolrestat can be obtained by several different ways: 1) The reaction of 2-(4-oxo-3,4-dihydrophthalazin-1-yl)acetic acid ethyl ester (I) with 2-chloroacetonitrile by means of potassium tert-butoxide in DMF gives 2-[3-(cyanomethyl)-4-oxo-3,4-dihydrophthalazin-1-yl]acetic acid ethyl ester (II), which is cyclized with 2-amino-4-(trifluoromethyl)thiophenol (III) in refluxing ethanol yielding zopolrestat ethyl ester (IV). Finally, this compound is hydrolyzed with KOH in methanol/water/THF. 2) Compound (IV) can also be obtained by cyclization of (II) with 4-chloro-3-nitrobenzotrifluoride (V) in hot DMF saturated with H2S. 3) Compound (II) can also be obtained as follows: The reaction of phthalazine (I) with aqueous formaldehyde gives 2-[3-(hydroxymethyl)-4-oxo-3,4-dihydrophthalazin-1-yl]acetic acid ethyl ester (VI), which is treated with PBr3 in ethyl ether yielding the bromomethyl derivative (VII). Finally, this compound is treated with potassium cyanide and KI in acetone/water.

合成路线图解说明:

5) Esterified intermediate (IV) can also be obtained as follows: The reaction of 2-bromo-5-(trifluoromethyl)acetanilide (VIII) with phosphorus pentasulfide in refluxing benzene gives the corresponding thioamide (IX), which is cyclized by means of NaH in hot N-methylpyrrolidone yielding 2-methyl-5-(trifluoromethyl)benzothiazole (X). The bromination of (X) with N-bromosuccinimide (NBS) and benzoyl peroxide in refluxing CCl4 affords the corresponding bromomethyl derivative (XI), which is then condensed with phthalazinone (I) by means of NaH in DMF.

Drug Information Express,Drug R&D,Chemical Database,Patent Search.
Copyright © 2006-2026 Drug Future. All rights reserved.Contact Us