【药物名称】Suritozole, MDL-26479
化学结构式(Chemical Structure):
参考文献No.151664
标题:MDL 26,479: A potential antidepressant whose mechanism of action involves interaction at the GABAA receptor complex
作者:Dudley, M.W.; Baron, B.M.; Sorensen, S.M.; Miller, F.P.
来源:29th Annu Meet Amer Coll Neuropsychopharmacol (Dec 10-14, San Juan) 1990,Abst
合成路线图解说明:

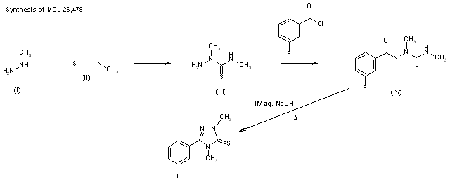
The reaction of methyl hydrazine (I) and methyl isothiocyanate (II) in either ethanol or THF afforded 2,4-dimethylthiosemicarbazide (III). Acylation of (III) with 3-fluorobenzoyl chloride in either pyridine or THF/N(Et)3 yielded 1-(3-fluorobenzoyl)-2,4-dimethylthiosemicarbazide (IV), which was easily cyclized to MDL 26,479 by warming in 1 M aqueous NaOH.

参考文献No.161263
标题:MDL 26,479
作者:Miller, J.A.; Dudley, M.W.; Kehne, J.H.; Sorensen, S.M.; Wenstrup, D.L.; Kane, J.M.
来源:Drugs Fut 1992,17(1),21
合成路线图解说明:

The reaction of methyl hydrazine (I) and methyl isothiocyanate (II) in either ethanol or THF afforded 2,4-dimethylthiosemicarbazide (III). Acylation of (III) with 3-fluorobenzoyl chloride in either pyridine or THF/N(Et)3 yielded 1-(3-fluorobenzoyl)-2,4-dimethylthiosemicarbazide (IV), which was easily cyclized to MDL 26,479 by warming in 1 M aqueous NaOH.

Drug Information Express,Drug R&D,Chemical Database,Patent Search.
Copyright © 2006-2026 Drug Future. All rights reserved.Contact Us