【药物名称】Ebrotidine, FI-3542, Ebrocit
化学结构式(Chemical Structure):
参考文献No.3076
标题:Sulfonamidines, a process for preparing them and pharmaceutical compositions containing them
作者:Foguet, R.; Anglada, L.; Castell? J.M.; Sacrist醤, A.; Ortiz, J.A. (Ferrer Internacional SA)
来源:EP 0159012; JP 1986000073; US 4728655
合成路线图解说明:

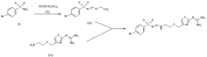
The reaction of 4-bromobenzenesulfonamide (I) with triethyl orthoformate (II) at 110 C gives the corresponding formimidate (III), which is then condensed with 2-[4-[[(2-aminoethyl)thio]methyl]-2-thiazolyl]guanidine (IV) in methanol.

参考文献No.314838
标题:Ebrotidine
作者:Castell? J.M.; Sacrist醤, A.; Ortiz, J.A.
来源:Drugs Fut 1996,21(2),135
合成路线图解说明:

The reaction of 4-bromobenzenesulfonamide (I) with triethyl orthoformate (II) at 110 C gives the corresponding formimidate (III), which is then condensed with 2-[4-[[(2-aminoethyl)thio]methyl]-2-thiazolyl]guanidine (IV) in methanol.

参考文献No.366988
标题:Inhibitors of gastric acid secretion: N-Sulphonyl formamidines in a series of new histamine H2-receptor antagonists
作者:Anglada, L.; M醨quez, M.; Sacrist醤, A.; Ortiz, J.A.
来源:Eur J Med Chem 1988,2397-100
合成路线图解说明:

The reaction of 4-bromobenzenesulfonamide (I) with triethyl orthoformate (II) at 110 C gives the corresponding formimidate (III), which is then condensed with 2-[4-[[(2-aminoethyl)thio]methyl]-2-thiazolyl]guanidine (IV) in methanol.

Drug Information Express,Drug R&D,Chemical Database,Patent Search.
Copyright © 2006-2026 Drug Future. All rights reserved.Contact Us