【药物名称】Fasoracetam, NS-105, LAM-105
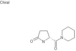
化学结构式(Chemical Structure):
参考文献No.6645
标题:Pyroglutamide derivs
作者:Kimura, K.; Chokai, S.; Tomita, T.; Kise, M.; Nakamura, K. (Nippon Shinyaku Co., Ltd.)
来源:DE 3701494; FR 2597100; GB 2185483; JP 1987252761; JP 1987252762; JP 1988146857; US 5102882
合成路线图解说明:

By condensation of D-pyroglutamic acid (I) with piperidine (II) by means of dicyclohexylcarbodiimide (DCC) in acetonitrile.

参考文献No.88173
标题:Synthesis and learning and memory enhancing action of a new pyroglutamic acid amide derivative
作者:Joseki, S.; Nakamura, K.; Tomita, T.; Oshe, M.; Sugiyama, S.; Ogasawara, T.; Kimura, K.
来源:108th Annu Meet Pharm Soc Jpn (April 4-7, Hiroshima) 1988,Abst 4 E11 3-1
合成路线图解说明:

By condensation of D-pyroglutamic acid (I) with piperidine (II) by means of dicyclohexylcarbodiimide (DCC) in acetonitrile.

参考文献No.410774
标题:NS-105
作者:Graul, A.; Tracy, M.; Casta馿r, J.
来源:Drugs Fut 1997,22(6),639
合成路线图解说明:

By condensation of D-pyroglutamic acid (I) with piperidine (II) by means of dicyclohexylcarbodiimide (DCC) in acetonitrile.

Drug Information Express,Drug R&D,Chemical Database,Patent Search.
Copyright © 2006-2026 Drug Future. All rights reserved.Contact Us