【药物名称】Satigrel, E-5510
化学结构式(Chemical Structure):
参考文献No.7325
标题:Diphenyl-methane derivative, pharmaceutical composition and use
作者:Yamagishi, Y.; Akasaka, K.; Suzuki, T.; Miyamoto, M.; Nakamoto, K.; Okano, K.; Abe, S.; Ikuta, H.; Hayashi, K.; Yoshimura, H.; Fujimori, T.; Harada, K.; Yamatsu, I. (Eisai Co., Ltd.)
来源:AU 8770085; EP 0238973; JP 87223164; JP 88010743
合成路线图解说明:

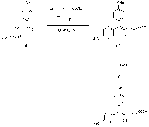
The condensation of 4,4'-dimethoxybenzophenone (I) with ethyl 4-bromo-4-cyanobutyrate (II) by means of trimethyl borate, Zn and I2 in THF gives ethyl 4-cyano-5,5-bis(4-methoxyphenyl)-4-pentenoate (III), which is saponified with NaOH in hot dioxane-water.

参考文献No.77454
标题:E-5510
作者:Prous, J.; Casta馿r, J.
来源:Drugs Fut 1989,14(3),215
合成路线图解说明:

The condensation of 4,4'-dimethoxybenzophenone (I) with ethyl 4-bromo-4-cyanobutyrate (II) by means of trimethyl borate, Zn and I2 in THF gives ethyl 4-cyano-5,5-bis(4-methoxyphenyl)-4-pentenoate (III), which is saponified with NaOH in hot dioxane-water.

Drug Information Express,Drug R&D,Chemical Database,Patent Search.
Copyright © 2006-2026 Drug Future. All rights reserved.Contact Us