【药物名称】Ceronapril, Ceranapril, SQ-29852, Novopril
化学结构式(Chemical Structure):
参考文献No.6571
标题:Orally active phosphonyl hydroxyacyl prolines and processes for preparing phosphonyl hydroxyacyl prolines
作者:Karanewsky, D.S.; Petrillo, E.W. Jr. (E.R. Squibb & Sons, Inc.)
来源:AU 8666133; EP 0229520; JP 1987164691; US 4745196
合成路线图解说明:

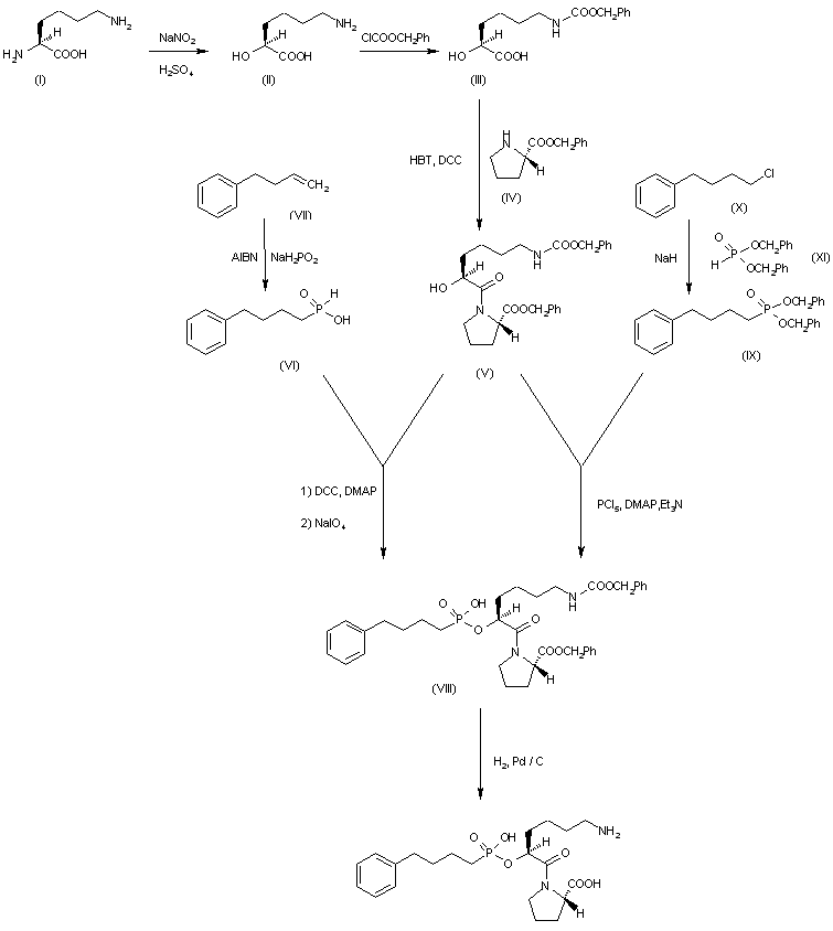
This compound can be obtained by two related ways: 1) The reaction of L-lysine (I) with NaNO2 - H2SO4 in water gives 6-amino-2(S)-hydroxyhexanoic acid (II), which is protected with benzyl chloroformate as usual yielding the N-benzyloxycarbonyl compound (III). The condensation of (III) with L-proline benzyl ester (IV) by means of hydroxybenzotriazole (HBT) and dicyclohexylcarbodiimide (DCC) affords the acylated proline ester (V), which is esterified with 4-phenylbutylphosphonous acid (VI) by means of DCC and dimethylaminopyridine (DMAP), and oxidized with NaIO4 to give the protected phosphonic ester (VIII). Finally, this compound is debenzylated by hydrogenation of Pd/C in methanol. The phosphonous acid (VI) is obtained by reaction of 4-phenyl-1-butene (VII) with sodium hypophosphite by means of azobisisobutyronitrile (AIBN). 2) The condensation of acylated proline ester (V) with dibenzyl 4-phenylbutylphosphonate (IX) by means of PCl5, triethylamine and DMAP also gives the protected phosphonic ester (VIII). The dibenzyl phosphonate (IX) is obtained by condensation of 4-phenylbutyl chloride (X) with dibenzyl phosphite (XI) by means of NaH in DMF.

参考文献No.84544
标题:SQ-29852
作者:Prous, J.; Casta馿r, J.
来源:Drugs Fut 1989,14(6),533
合成路线图解说明:

This compound can be obtained by two related ways: 1) The reaction of L-lysine (I) with NaNO2 - H2SO4 in water gives 6-amino-2(S)-hydroxyhexanoic acid (II), which is protected with benzyl chloroformate as usual yielding the N-benzyloxycarbonyl compound (III). The condensation of (III) with L-proline benzyl ester (IV) by means of hydroxybenzotriazole (HBT) and dicyclohexylcarbodiimide (DCC) affords the acylated proline ester (V), which is esterified with 4-phenylbutylphosphonous acid (VI) by means of DCC and dimethylaminopyridine (DMAP), and oxidized with NaIO4 to give the protected phosphonic ester (VIII). Finally, this compound is debenzylated by hydrogenation of Pd/C in methanol. The phosphonous acid (VI) is obtained by reaction of 4-phenyl-1-butene (VII) with sodium hypophosphite by means of azobisisobutyronitrile (AIBN). 2) The condensation of acylated proline ester (V) with dibenzyl 4-phenylbutylphosphonate (IX) by means of PCl5, triethylamine and DMAP also gives the protected phosphonic ester (VIII). The dibenzyl phosphonate (IX) is obtained by condensation of 4-phenylbutyl chloride (X) with dibenzyl phosphite (XI) by means of NaH in DMF.

参考文献No.92946
标题:(Phosphinyloxy)acyl amino acid inhibitors of angiotensin converting enzyme (ACE). 1. Discovery of (S)-1-[6-amino-2-[[hydroxy(4-phenylbutyl)phosphinyl]oxy]-1-oxohexyl]-L-proline, a novel orally acting inhibitor of ACE
作者:Powell, J.R.; Karanewsky, D.S.; Dejneka, T.; DeForrest, J.M.; Petrillo, E.W. Jr.; Perri, M.G.; Badia, M.C.; Loots, M.J.; Cushman, D.W.
来源:J Med Chem 1988,31(1),204
合成路线图解说明:

This compound can be obtained by two related ways: 1) The reaction of L-lysine (I) with NaNO2 - H2SO4 in water gives 6-amino-2(S)-hydroxyhexanoic acid (II), which is protected with benzyl chloroformate as usual yielding the N-benzyloxycarbonyl compound (III). The condensation of (III) with L-proline benzyl ester (IV) by means of hydroxybenzotriazole (HBT) and dicyclohexylcarbodiimide (DCC) affords the acylated proline ester (V), which is esterified with 4-phenylbutylphosphonous acid (VI) by means of DCC and dimethylaminopyridine (DMAP), and oxidized with NaIO4 to give the protected phosphonic ester (VIII). Finally, this compound is debenzylated by hydrogenation of Pd/C in methanol. The phosphonous acid (VI) is obtained by reaction of 4-phenyl-1-butene (VII) with sodium hypophosphite by means of azobisisobutyronitrile (AIBN). 2) The condensation of acylated proline ester (V) with dibenzyl 4-phenylbutylphosphonate (IX) by means of PCl5, triethylamine and DMAP also gives the protected phosphonic ester (VIII). The dibenzyl phosphonate (IX) is obtained by condensation of 4-phenylbutyl chloride (X) with dibenzyl phosphite (XI) by means of NaH in DMF.

Drug Information Express,Drug R&D,Chemical Database,Patent Search.
Copyright © 2006-2026 Drug Future. All rights reserved.Contact Us