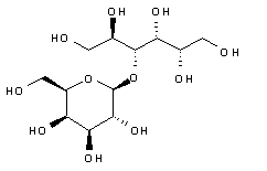
【药物名称】Lactitol, NS-4, Portolac, Importal
化学结构式(Chemical Structure):
参考文献No.62955
标题:Process for hydrogenation of sugars
作者:Darsow, G. (Bayer AG)
来源:DE 4416408; EP 0694515; JP 1995304699; US 5641872
合成路线图解说明:

Lactitol is obtained by catalytic hydrogenation of lactose (I) in the presence of either, nickel catalysts such as Raney nickel (1-9), or ruthenium catalysts (10). Alternatively, lactose (I) is reduced by employing NaBH4 (9).

参考文献No.62956
标题:Process for producing a sugar-alcohol using Raney catalyst
作者:Oshima, T.; Nagasawa, M.; Okamoto, N.; Shimazu, K.; Tateno, Y.; Magara, M.; Sakamura, H. (Towa Chemical Co. Ltd.)
来源:EP 0773063; JP 1997131535; US 6414201
合成路线图解说明:

Lactitol is obtained by catalytic hydrogenation of lactose (I) in the presence of either, nickel catalysts such as Raney nickel (1-9), or ruthenium catalysts (10). Alternatively, lactose (I) is reduced by employing NaBH4 (9).

参考文献No.62957
标题:Process for the hydrogenation of sugars
作者:Kowalczyk, J.; Degelmann, H.; Kunz, M.; Sch黷tenhelm, M.
来源:DE 19701439; EP 0854148; JP 1999001490
合成路线图解说明:

Lactitol is obtained by catalytic hydrogenation of lactose (I) in the presence of either, nickel catalysts such as Raney nickel (1-9), or ruthenium catalysts (10). Alternatively, lactose (I) is reduced by employing NaBH4 (9).

参考文献No.62958
标题:Process for the hydrogenation of sugars using a shell type catalyst
作者:Kowalczyk, J.; Degelmann, H.; Kunz, M.; Sch黷tenhelm, M.
来源:EP 0854149; JP 1999029509; US 5936081
合成路线图解说明:

Lactitol is obtained by catalytic hydrogenation of lactose (I) in the presence of either, nickel catalysts such as Raney nickel (1-9), or ruthenium catalysts (10). Alternatively, lactose (I) is reduced by employing NaBH4 (9).

参考文献No.62959
标题:Process for the hydrogenation of sugars
作者:Darsow, G. (Bayer AG)
来源:DE 19701991; EP 0857730; JP 1998204010; US 6124443
合成路线图解说明:

Lactitol is obtained by catalytic hydrogenation of lactose (I) in the presence of either, nickel catalysts such as Raney nickel (1-9), or ruthenium catalysts (10). Alternatively, lactose (I) is reduced by employing NaBH4 (9).

参考文献No.62960
标题:Method for producing alcohols by hydrogenating carbonyl cpds.
作者:Ostgard, D.; Berweiler, M.; R鰀er, S. (Degussa AG)
来源:WO 0251779
合成路线图解说明:

Lactitol is obtained by catalytic hydrogenation of lactose (I) in the presence of either, nickel catalysts such as Raney nickel (1-9), or ruthenium catalysts (10). Alternatively, lactose (I) is reduced by employing NaBH4 (9).

参考文献No.62961
标题:Process for producing lactulitol and the lactulitol obtained according to this process
作者:Dendene, K.; Ghihard, L.; Bariou, B.
来源:FR 2711654
合成路线图解说明:

Lactitol is obtained by catalytic hydrogenation of lactose (I) in the presence of either, nickel catalysts such as Raney nickel (1-9), or ruthenium catalysts (10). Alternatively, lactose (I) is reduced by employing NaBH4 (9).

参考文献No.62962
标题:Process for the preparation of epimer-free sugaralcohols from the group of xylitol, sorbitol (D-glucitol), 4-O-beta-D-galactopyranosyl-D-glucitol and 4-O-alpha-D-glucopyranosyl-D-sorbitol
作者:Darsow, G. (Bayer AG)
来源:EP 0423525; JP 1991135934; US 5162517
合成路线图解说明:

Lactitol is obtained by catalytic hydrogenation of lactose (I) in the presence of either, nickel catalysts such as Raney nickel (1-9), or ruthenium catalysts (10). Alternatively, lactose (I) is reduced by employing NaBH4 (9).

参考文献No.62963
标题:Process for the conversion of oxidised sugars to hydrogenated sugars by catalytic hydrogenation
作者:Fleche, G.; Fuertes, P.; Tamion, R.
来源:EP 0999197; FR 2784382
合成路线图解说明:

Lactitol is obtained by catalytic hydrogenation of lactose (I) in the presence of either, nickel catalysts such as Raney nickel (1-9), or ruthenium catalysts (10). Alternatively, lactose (I) is reduced by employing NaBH4 (9).

参考文献No.736547
标题:Preparation and characterization of milk sugar alcohol, lactitol
作者:Saijonmaa, T.; Heikonen, M.; Kreula, M.; Linko, P.
来源:Milchwissenschaft 1978,33(12),733
合成路线图解说明:

Lactitol is obtained by catalytic hydrogenation of lactose (I) in the presence of either, nickel catalysts such as Raney nickel (1-9), or ruthenium catalysts (10). Alternatively, lactose (I) is reduced by employing NaBH4 (9).

Drug Information Express,Drug R&D,Chemical Database,Patent Search.
Copyright © 2006-2026 Drug Future. All rights reserved.Contact Us