【药物名称】Ebastine, RP-64305, LAS-W-090, W-090, Evastel, No-Sedat, Kestine, Bastel, Ebastel
化学结构式(Chemical Structure):
参考文献No.127736
标题:EBASTINE
作者:Moragues, J.; Roberts, D.J.
来源:Drugs Fut 1990,15(7),674
合成路线图解说明:

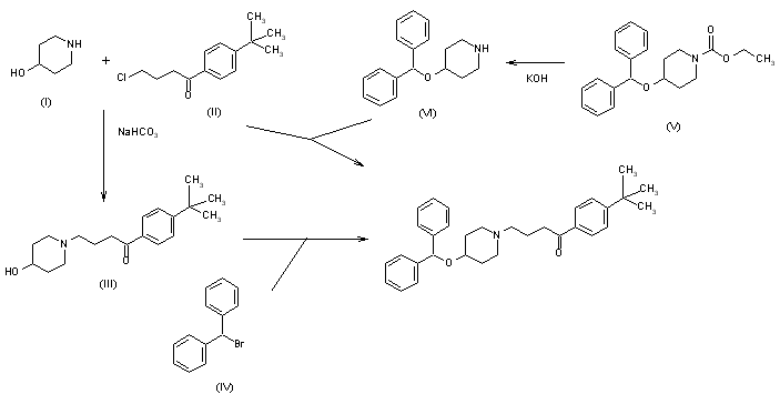
This compound can be obtained by two related routes: 1) Condensation of 4-hydroxypiperidine (I) with p-tert-butyl-omega-chlorobutyrophenone (II) in hot methyl isobutyl ketone in presence of sodium bicarbonate gives 1-[3-(4-tert-butylbenzoyl)propyl]-4-hydroxypiperidine (III), which reacts with diphenylmethyl bromide (IV) in methyl isobutyl ketone to give ebastine. 2) 4-Diphenylmethoxypiperidine (VI), obtained by alkaline hydrolysis of 1-ethoxycarbonyl-4-diphenyl-methoxypiperidine (V) was reacted with p-tert-butyl-omega-chlorobutyrophenone (II) to give ebastine.

参考文献No.900003
标题:Piperidine derivs
作者:Spickett, R.G.W.; Moragues, J.; Prieto, J.; Vega, A. (Fordonal S.A.)
来源:EP 0134124B; US 4550116
合成路线图解说明:

This compound can be obtained by two related routes: 1) Condensation of 4-hydroxypiperidine (I) with p-tert-butyl-omega-chlorobutyrophenone (II) in hot methyl isobutyl ketone in presence of sodium bicarbonate gives 1-[3-(4-tert-butylbenzoyl)propyl]-4-hydroxypiperidine (III), which reacts with diphenylmethyl bromide (IV) in methyl isobutyl ketone to give ebastine. 2) 4-Diphenylmethoxypiperidine (VI), obtained by alkaline hydrolysis of 1-ethoxycarbonyl-4-diphenyl-methoxypiperidine (V) was reacted with p-tert-butyl-omega-chlorobutyrophenone (II) to give ebastine.

Drug Information Express,Drug R&D,Chemical Database,Patent Search.
Copyright © 2006-2026 Drug Future. All rights reserved.Contact Us