【药物名称】Zeniplatin, CL-286558
化学结构式(Chemical Structure):
参考文献No.6673
标题:[2,2-Bis(aminomethyl)-1,3-propanediol-N,N']platinum complexes
作者:Grassing Child, R.; Bitha, P.; Hlavka, J.J.; Lin, Y. (Zyma)
来源:AU 8432572; EP 0140830; ES 8802308; GB 2145720; JP 1985149581; US 4665202
合成路线图解说明:

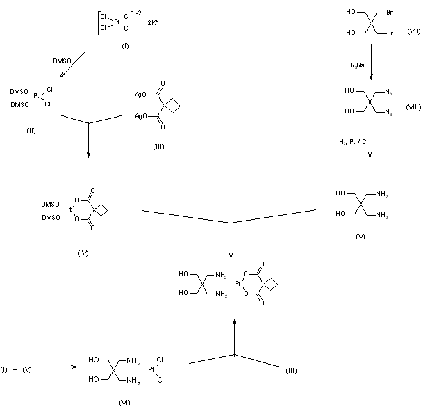
Zeniplatin can be obtained by two related ways: 1) The reaction of dimethylsulfoxide with potassium tetrachloroplatinate (I) gives bis(dimethylsulfoxide-S,S')dichloroplatinum (II), which is then condensed with silver cyclobutane-1,1-dicarboxylate (III) in water to yield bis(dimethylsulfoxide-S,S')(1,1-cyclobutanedicarboxylato-O,O')platinum (IV). Finally, this compound is treated with 2,2-bis(aminomethyl)-1,3-propanediol (V) in refluxing water. 2) The reaction of potassium tetrachloroplatinate (I) with diamine (V) in water gives [2,2-bis(aminomethyl)-1,3-propanediol-N,N']dichloroplatinum (IV), which is treated with the silver salt (III) as before. The diamine (V) is prepared by reaction of 2,2-bis(bromomethyl)-1,3-propanediol (VII) with sodium azide in hot DMF to give 2,2-bis(azidomethyl)-1,3-propanediol (VIII), which is then reduced with hydrogen over Pt.

参考文献No.11599
标题:Synthesis of cisplatinum analogs
作者:Bitha, P.; Hlavka, J.J.; Lin, Y. (American Cyanamid Co.)
来源:EP 0296321
合成路线图解说明:

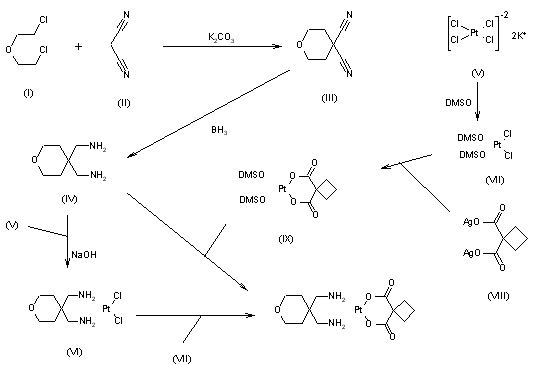
Enloplatin can be obtained by two related ways: 1) The cyclization of 2,2'-dichloroethylether (I) with malonodinitrile (II) by means of K2CO3 in refluxing acetonitrile gives tetrahydropyran-4,4-dicarbonitrile (III), which is reduced with BH3 in THF yielding tetrahydropyran-4,4-dimethamine (IV). The reaction of (IV) with potassium tetrachloroplatinate (V) affords dichloro(tetrahydropyran-4,4-dimethanamine-N,N')platinum(II) (VI), which is finally condensed with cyclobutane-1,1-dicarboxylic acid silver salt (VIII) in water. 2) The reaction of potassium tetrachloroplatinate (V) with DMSO gives dichloro-bis(dimethylsulfoxide)platinum(II) (VII), which is condensed with silver salt (VIII) to afford (1,1-cyclobutane-dicarboxylato-O,O')bis(dimethylsulfoxide)platinum(II) (IX), which is finally treated with diamine (IV) as before.

合成路线图解说明:

Zeniplatin can be obtained by two related ways: 1) The reaction of dimethylsulfoxide with potassium tetrachloroplatinate (I) gives bis(dimethylsulfoxide-S,S')dichloroplatinum (II), which is then condensed with silver cyclobutane-1,1-dicarboxylate (III) in water to yield bis(dimethylsulfoxide-S,S')(1,1-cyclobutanedicarboxylato-O,O')platinum (IV). Finally, this compound is treated with 2,2-bis(aminomethyl)-1,3-propanediol (V) in refluxing water. 2) The reaction of potassium tetrachloroplatinate (I) with diamine (V) in water gives [2,2-bis(aminomethyl)-1,3-propanediol-N,N']dichloroplatinum (IV), which is treated with the silver salt (III) as before. The diamine (V) is prepared by reaction of 2,2-bis(bromomethyl)-1,3-propanediol (VII) with sodium azide in hot DMF to give 2,2-bis(azidomethyl)-1,3-propanediol (VIII), which is then reduced with hydrogen over Pt.

参考文献No.98534
标题:Water-soluble third generation antitumor Pt complexes, [2,2-bis(aminomethyl)-1,3-propanediol-N,N']- [1,1-cyclobutanedicarboxylato(2-)-O,O']Pt(II) and [1,1-cyclobutanedicarboxylato(2-)-O,O']-[tetrahydro-4H-pyran-4,4-dimethanamine-N,N']Pt(II)
作者:Bitha, P.; Carvajal, S.G.; Citarella, R.V.; Child, R.G.; Delos Santos, E.F.; Dunne, T.S.; Durr, F.E.; Hlavka, J.J.; Lang, S.A. Jr.; Lindsay, H.L.; et al.
来源:J Med Chem 1989,32(8),2015
合成路线图解说明:

Enloplatin can be obtained by two related ways: 1) The cyclization of 2,2'-dichloroethylether (I) with malonodinitrile (II) by means of K2CO3 in refluxing acetonitrile gives tetrahydropyran-4,4-dicarbonitrile (III), which is reduced with BH3 in THF yielding tetrahydropyran-4,4-dimethamine (IV). The reaction of (IV) with potassium tetrachloroplatinate (V) affords dichloro(tetrahydropyran-4,4-dimethanamine-N,N')platinum(II) (VI), which is finally condensed with cyclobutane-1,1-dicarboxylic acid silver salt (VIII) in water. 2) The reaction of potassium tetrachloroplatinate (V) with DMSO gives dichloro-bis(dimethylsulfoxide)platinum(II) (VII), which is condensed with silver salt (VIII) to afford (1,1-cyclobutane-dicarboxylato-O,O')bis(dimethylsulfoxide)platinum(II) (IX), which is finally treated with diamine (IV) as before.

合成路线图解说明:

Zeniplatin can be obtained by two related ways: 1) The reaction of dimethylsulfoxide with potassium tetrachloroplatinate (I) gives bis(dimethylsulfoxide-S,S')dichloroplatinum (II), which is then condensed with silver cyclobutane-1,1-dicarboxylate (III) in water to yield bis(dimethylsulfoxide-S,S')(1,1-cyclobutanedicarboxylato-O,O')platinum (IV). Finally, this compound is treated with 2,2-bis(aminomethyl)-1,3-propanediol (V) in refluxing water. 2) The reaction of potassium tetrachloroplatinate (I) with diamine (V) in water gives [2,2-bis(aminomethyl)-1,3-propanediol-N,N']dichloroplatinum (IV), which is treated with the silver salt (III) as before. The diamine (V) is prepared by reaction of 2,2-bis(bromomethyl)-1,3-propanediol (VII) with sodium azide in hot DMF to give 2,2-bis(azidomethyl)-1,3-propanediol (VIII), which is then reduced with hydrogen over Pt.

参考文献No.175890
标题:Zeniplatin
作者:Prous, J.; Casta馿r, J.
来源:Drugs Fut 1992,17(6),471
合成路线图解说明:

Zeniplatin can be obtained by two related ways: 1) The reaction of dimethylsulfoxide with potassium tetrachloroplatinate (I) gives bis(dimethylsulfoxide-S,S')dichloroplatinum (II), which is then condensed with silver cyclobutane-1,1-dicarboxylate (III) in water to yield bis(dimethylsulfoxide-S,S')(1,1-cyclobutanedicarboxylato-O,O')platinum (IV). Finally, this compound is treated with 2,2-bis(aminomethyl)-1,3-propanediol (V) in refluxing water. 2) The reaction of potassium tetrachloroplatinate (I) with diamine (V) in water gives [2,2-bis(aminomethyl)-1,3-propanediol-N,N']dichloroplatinum (IV), which is treated with the silver salt (III) as before. The diamine (V) is prepared by reaction of 2,2-bis(bromomethyl)-1,3-propanediol (VII) with sodium azide in hot DMF to give 2,2-bis(azidomethyl)-1,3-propanediol (VIII), which is then reduced with hydrogen over Pt.

Drug Information Express,Drug R&D,Chemical Database,Patent Search.
Copyright © 2006-2026 Drug Future. All rights reserved.Contact Us