【药物名称】Vapreotide acetate, BMY-41606, RC-160, Docrised, Sanvar, Octastatin
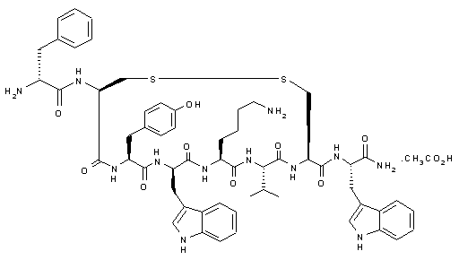
化学结构式(Chemical Structure):
参考文献No.6083
标题:Biologically active octapeptides
作者:Schally, A.V.; Cai, R.Z.
来源:US 4650787
合成路线图解说明:

Coupling of Boc-Trp-OH (I) onto BHA resin by means of diisopropylcarbodiimide (DIPCDI) and HOBt in DMF followed by Boc removal by treatment with TFA in CH2Cl2 in the presence of mercaptoethanol provides on resin amino acid (II), which is converted into dipeptide (III) by coupling with Boc-Cys(Mbz)-OH by means of DIPCDI and HOBt followed by Boc removal by means of TFA in CH2Cl2. The same protocol of coupling and deprotection is followed for the incorporation of Boc-Val-OH and Boc-Lys(2-ClZ)-OH to furnish anchored tripeptide (IV), which is converted into protected octapeptide (V) by sequential amino acid couplings and deprotections by following the protocol described above. Simultaneous cleavage and protecting groups removal of resin (V) by treatment with HF in the presence of cresol and 1,2-ethanedithiol provides linear peptide (VI), which is finally oxidized by means of potassium ferrocyanide to furnish the desired product.

Drug Information Express,Drug R&D,Chemical Database,Patent Search.
Copyright © 2006-2026 Drug Future. All rights reserved.Contact Us