【药物名称】Hidrosmina, Hidrosmin, F-117, Venosmil
化学结构式(Chemical Structure):
参考文献No.
46620
标题:
Preparation of mono- and di-beta-hydroxyethyl diosmine mixture
作者:
Mosquera, R.; Orjales, A. (FAES)
来源:
DE 3715447; ES 554841; FR 2598415; IT 1215471
合成路线图解说明:
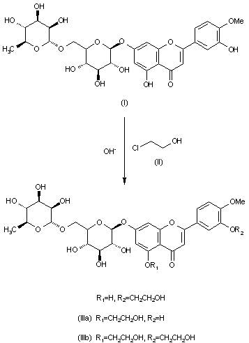
By reaction of diosmin (I) with 2-chloroethanol (II) in alkaline aqueous medium.
参考文献No.
79466
标题:
Hidrosmin
作者:
Orjales, A.
来源:
Drugs Fut 1987,12(11),1015
合成路线图解说明:
By reaction of diosmin (I) with 2-chloroethanol (II) in alkaline aqueous medium.
Drug Information Express,Drug R&D,Chemical Database,Patent Search.
Copyright © 2006-2026
Drug Future
. All rights reserved.
Contact Us