【药物名称】Desferrioxamine, Deferoxamine, ICL-749B(depot formulation), CGH-749B(depot formulation), DFO, Ba-33112(mesylate), Ba-29837(HCl), NSC-527604, Desferin, Desferal
化学结构式(Chemical Structure):
参考文献No.57927
标题:Liposome-Entrapped Desferrioxamine deferoxamine
作者:Blancafort, P.; Casta馿r, J.; Serradell, M.N.; Hopkins, S.J.
来源:Drugs Fut 1979,4(7),500
合成路线图解说明:

A culture broth of Streptomyces pilosus ETH 21748 is treated with Hyflo-Supercel and aqueous ferric sulfate, and the clear solution obtained is extracted with phenol-CHCl3 to obtain, after purification a crude mixture of ferrioxamins A, B, C, D1, D2, E and F. This crude product is chromatographed through Dowex 50 WX2 using an ammonium acetate buffer and the different ferrioxamins are separated. The treatment of ferrioxamin B (I) with aqueous NaOH gives a precipitate of Fe(OH)3 which is filtered off, and the remaining solution is then treated with HCl and extracted with phenol-CHCl3. Finally, this extract is worked up to give the pure product.

合成路线图解说明:

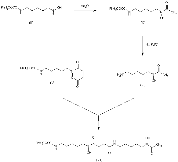
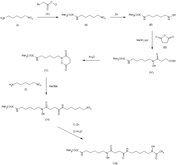
The reaction of 1-amino-5-nitropentane (I) with benzyloxycarbonyl chloride (A) by means of NaOH in water gives 1-carbobenzoxyamino-5-nitropentane (II), which by reduction with Zn and ammonium chloride in ethanol - water yields 1-carbobenzoxyamino-5-hydroxylaminopentane (III). The reaction of (III) with succinic anhydride (B) by means of NaOH in pyridine water affords 1-carbobenzoxyamino-5-(N-succinylhydroxylamino)pentane (IV), which is cyclized with hot acetic anhydride giving 2-(5-carbobenzoxyaminopentyl)-3,6-dioxotetrahydro-1,2-oxazine (V). The reaction of (V) with the nitroamine (I) by means of sodium methoxide in methanol yields 1-carbobenzoxy-6-hydroxy-16-nitro-7,10-dioxo-6,11-diazahexadecane (VI), which is reduced with Zn and acetylated as before affording 1-carboxybenzoxyamino-6-hydroxy-16-(N-acetylhydroxylamino)-7,10-dioxo-6,11-diazahexadecane (VII).

合成路线图解说明:

The acetylation of (III) as before gives 1-carbobenzoxyamino-5-(N-acetylhydroxylamino)pentane (X), which is debenzylated as usual yielding 1-amino-5-(N-acetylhydroxylamino)pentane (XI). Finally, this compound is condensed with (V) to afford (VII).

合成路线图解说明:

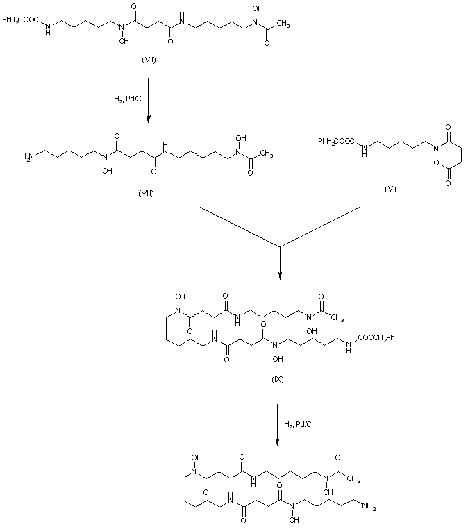
The debenzylation of (VII) by hydrogenation with H2 over Pd/C gives 1-amino-6-hydroxy-16-(N-acetylhydroxylamino)-7,10-dioxo-6,11-diazahexadecane (VIII), which condensed with (V) as before yields 1-carbobenzoxyamino-6,17-dihydroxy-7,10,18,21-tetraoxo-27-(N-acetylhydroxylamino)-6,11,17,22-tetrazaheptaeicosane (IX). Finally, this compound is debenzylated by means H2 over Pd/C.

参考文献No.800252
标题:260. Stoffwechselprodukte von actinomyceten. Uber die isolierung und charakterisierung der ferrioxamine A-F, neuer wuchsstadde der sideramin-gruppe
作者:Bickel, H.; et al.
来源:Helv Chim Acta 1960,432118-28
合成路线图解说明:

A culture broth of Streptomyces pilosus ETH 21748 is treated with Hyflo-Supercel and aqueous ferric sulfate, and the clear solution obtained is extracted with phenol-CHCl3 to obtain, after purification a crude mixture of ferrioxamins A, B, C, D1, D2, E and F. This crude product is chromatographed through Dowex 50 WX2 using an ammonium acetate buffer and the different ferrioxamins are separated. The treatment of ferrioxamin B (I) with aqueous NaOH gives a precipitate of Fe(OH)3 which is filtered off, and the remaining solution is then treated with HCl and extracted with phenol-CHCl3. Finally, this extract is worked up to give the pure product.

参考文献No.800253
标题:261. Stoffweschselprodukte von actinomyceten, Uber die konstitution von ferrioxamine B
作者:Bickel, H.; et al.
来源:Helv Chim Acta 1960,432129-38
合成路线图解说明:

A culture broth of Streptomyces pilosus ETH 21748 is treated with Hyflo-Supercel and aqueous ferric sulfate, and the clear solution obtained is extracted with phenol-CHCl3 to obtain, after purification a crude mixture of ferrioxamins A, B, C, D1, D2, E and F. This crude product is chromatographed through Dowex 50 WX2 using an ammonium acetate buffer and the different ferrioxamins are separated. The treatment of ferrioxamin B (I) with aqueous NaOH gives a precipitate of Fe(OH)3 which is filtered off, and the remaining solution is then treated with HCl and extracted with phenol-CHCl3. Finally, this extract is worked up to give the pure product.

参考文献No.800254
标题:75. Stoffweschselprodukte con actinomyceten. Uber die synthese der ferrioxamine B und D1
作者:Prelog, V.; Walser, A.
来源:Helv Chim Acta 1962,45631-637
合成路线图解说明:

The reaction of 1-amino-5-nitropentane (I) with benzyloxycarbonyl chloride (A) by means of NaOH in water gives 1-carbobenzoxyamino-5-nitropentane (II), which by reduction with Zn and ammonium chloride in ethanol - water yields 1-carbobenzoxyamino-5-hydroxylaminopentane (III). The reaction of (III) with succinic anhydride (B) by means of NaOH in pyridine water affords 1-carbobenzoxyamino-5-(N-succinylhydroxylamino)pentane (IV), which is cyclized with hot acetic anhydride giving 2-(5-carbobenzoxyaminopentyl)-3,6-dioxotetrahydro-1,2-oxazine (V). The reaction of (V) with the nitroamine (I) by means of sodium methoxide in methanol yields 1-carbobenzoxy-6-hydroxy-16-nitro-7,10-dioxo-6,11-diazahexadecane (VI), which is reduced with Zn and acetylated as before affording 1-carboxybenzoxyamino-6-hydroxy-16-(N-acetylhydroxylamino)-7,10-dioxo-6,11-diazahexadecane (VII).

合成路线图解说明:

The acetylation of (III) as before gives 1-carbobenzoxyamino-5-(N-acetylhydroxylamino)pentane (X), which is debenzylated as usual yielding 1-amino-5-(N-acetylhydroxylamino)pentane (XI). Finally, this compound is condensed with (V) to afford (VII).

合成路线图解说明:

The debenzylation of (VII) by hydrogenation with H2 over Pd/C gives 1-amino-6-hydroxy-16-(N-acetylhydroxylamino)-7,10-dioxo-6,11-diazahexadecane (VIII), which condensed with (V) as before yields 1-carbobenzoxyamino-6,17-dihydroxy-7,10,18,21-tetraoxo-27-(N-acetylhydroxylamino)-6,11,17,22-tetrazaheptaeicosane (IX). Finally, this compound is debenzylated by means H2 over Pd/C.

参考文献No.800255
标题:153. Stoffweschselprodukte von mikroorganismen. Zur henntnis von desferrioxamin B
作者:Bickel, H.; et al.
来源:Helv Chim Acta 1963,461385-89
合成路线图解说明:

A culture broth of Streptomyces pilosus ETH 21748 is treated with Hyflo-Supercel and aqueous ferric sulfate, and the clear solution obtained is extracted with phenol-CHCl3 to obtain, after purification a crude mixture of ferrioxamins A, B, C, D1, D2, E and F. This crude product is chromatographed through Dowex 50 WX2 using an ammonium acetate buffer and the different ferrioxamins are separated. The treatment of ferrioxamin B (I) with aqueous NaOH gives a precipitate of Fe(OH)3 which is filtered off, and the remaining solution is then treated with HCl and extracted with phenol-CHCl3. Finally, this extract is worked up to give the pure product.

合成路线图解说明:

The reaction of 1-amino-5-nitropentane (I) with benzyloxycarbonyl chloride (A) by means of NaOH in water gives 1-carbobenzoxyamino-5-nitropentane (II), which by reduction with Zn and ammonium chloride in ethanol - water yields 1-carbobenzoxyamino-5-hydroxylaminopentane (III). The reaction of (III) with succinic anhydride (B) by means of NaOH in pyridine water affords 1-carbobenzoxyamino-5-(N-succinylhydroxylamino)pentane (IV), which is cyclized with hot acetic anhydride giving 2-(5-carbobenzoxyaminopentyl)-3,6-dioxotetrahydro-1,2-oxazine (V). The reaction of (V) with the nitroamine (I) by means of sodium methoxide in methanol yields 1-carbobenzoxy-6-hydroxy-16-nitro-7,10-dioxo-6,11-diazahexadecane (VI), which is reduced with Zn and acetylated as before affording 1-carboxybenzoxyamino-6-hydroxy-16-(N-acetylhydroxylamino)-7,10-dioxo-6,11-diazahexadecane (VII).

合成路线图解说明:

The acetylation of (III) as before gives 1-carbobenzoxyamino-5-(N-acetylhydroxylamino)pentane (X), which is debenzylated as usual yielding 1-amino-5-(N-acetylhydroxylamino)pentane (XI). Finally, this compound is condensed with (V) to afford (VII).

合成路线图解说明:

The debenzylation of (VII) by hydrogenation with H2 over Pd/C gives 1-amino-6-hydroxy-16-(N-acetylhydroxylamino)-7,10-dioxo-6,11-diazahexadecane (VIII), which condensed with (V) as before yields 1-carbobenzoxyamino-6,17-dihydroxy-7,10,18,21-tetraoxo-27-(N-acetylhydroxylamino)-6,11,17,22-tetrazaheptaeicosane (IX). Finally, this compound is debenzylated by means H2 over Pd/C.

Drug Information Express,Drug R&D,Chemical Database,Patent Search.
Copyright © 2006-2026 Drug Future. All rights reserved.Contact Us