【药物名称】ME-93
化学结构式(Chemical Structure):
参考文献No.74976
标题:ME-93
作者:Meindl, W.; Sch鰊enberger, H.; Seydel, J.K.; Dhople, A.M.
来源:Drugs Fut 1987,12(12),1108
合成路线图解说明:

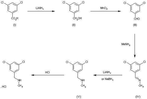
3,5-Dichlorobenzoic acid (I) is reduced with LiAlH4 to give 3,5-dichlorobenzyl alcohol (II). The latter is selectively oxidized with MnO2, yielding 3,5-dichlorobenzaldehyde (III). The condensation of (III) with methylamine gives the corresponding imine (IV), which can be reduced to the benzylamine (V) either with LiAlH4 or NaBH4. The hydrochloride is precipitated with etheric HCl.

参考文献No.555596
标题:Benzylamines: Synthesis and evaluation of antimycobacterial properties
作者:Meindl, W.R.; von Angerer, E.; Schonenberge, H.; Ruckdeschel, G.
来源:J Med Chem 1984,27(9),1111
合成路线图解说明:

3,5-Dichlorobenzoic acid (I) is reduced with LiAlH4 to give 3,5-dichlorobenzyl alcohol (II). The latter is selectively oxidized with MnO2, yielding 3,5-dichlorobenzaldehyde (III). The condensation of (III) with methylamine gives the corresponding imine (IV), which can be reduced to the benzylamine (V) either with LiAlH4 or NaBH4. The hydrochloride is precipitated with etheric HCl.

Drug Information Express,Drug R&D,Chemical Database,Patent Search.
Copyright © 2006-2026 Drug Future. All rights reserved.Contact Us