【药物名称】Linetastine, Linazolast, YM-257, TMK-688
化学结构式(Chemical Structure):
参考文献No.77461
标题:TMK-688
作者:Tasaka, K.
来源:Drugs Fut 1988,13(12),1056
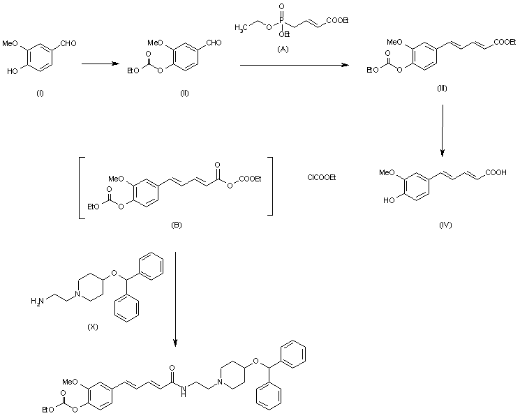
合成路线图解说明:

TMK 688 is derived trom the condensation ot 5-(3'-methoxy-4'-hydroxyphenyl)-2,4-pentadienoic acid (IV) and N-aminoethyl 4-diphenylmethoxypiperidine (X) in the presence of ethyl chloroformate in dichloromethane. Synthesis of intermediate (IV): Vanillin (I) is protected with ethyl chloroformate to give (II), which is then treated with triethyl 4-phosphonocrotonate and followed by alkali hydrolysis to produce (IV).

合成路线图解说明:

Synthesis of intermediate (X): 4-Hydroxypiperidine (V) is protected with ethyl chloroformate to give (VI), which is then condensed with bromodiphenylmethane in the presence of sodium carbonate yielding (VII). AIkali hydrolysis of (VII) gives (VIII), which is then treated with N-(2-bromoethyl)phthalimide to yield (IX). (IX) is then deprotected by a treatment of 80% hydrazine hydrate, producing (X).

Drug Information Express,Drug R&D,Chemical Database,Patent Search.
Copyright © 2006-2026 Drug Future. All rights reserved.Contact Us