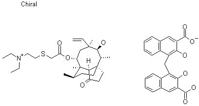
【药物名称】Tiamulin pamoate
化学结构式(Chemical Structure):
参考文献No.47804
标题:Substituted 14-desoxymutilin compositions
作者:Egger, H.; Reinshagen, H. (Novartis AG)
来源:DE 2248237; FR 2157828; GB 1410505; JP 48044244; US 4278674
合成路线图解说明:

By selective tosylation of pleuromutilin (I) with tosyl chloride and triethylamine in CHCl3 giving 14-deoxy-14-tosyloxyacetoxymutiline (II), which is then treated with 2-diethylaminoethanethiol (A) in ethanol containing sodium ethoxide.

参考文献No.800650
标题:Tiamulin
作者:Casta馿r, J.; Bogan, J.A.
来源:Drugs Fut 1977,2(4),274
合成路线图解说明:

By selective tosylation of pleuromutilin (I) with tosyl chloride and triethylamine in CHCl3 giving 14-deoxy-14-tosyloxyacetoxymutiline (II), which is then treated with 2-diethylaminoethanethiol (A) in ethanol containing sodium ethoxide.

参考文献No.800651
标题:New pleuromutilin derivatives with enhanced antimicrobial avtivity. I. Synthesis
作者:Egger, H.; Reinshagen, H.
来源:J Antibiot 1976,29(9),915
合成路线图解说明:

By selective tosylation of pleuromutilin (I) with tosyl chloride and triethylamine in CHCl3 giving 14-deoxy-14-tosyloxyacetoxymutiline (II), which is then treated with 2-diethylaminoethanethiol (A) in ethanol containing sodium ethoxide.

Drug Information Express,Drug R&D,Chemical Database,Patent Search.
Copyright © 2006-2026 Drug Future. All rights reserved.Contact Us