【药物名称】Levofloxacin, HR-355, RWJ-25213, DR-3355, Iquix, Oftaquix, Quixin, Tavanic, Levaquin, Floxacin, Cravit
化学结构式(Chemical Structure):
参考文献No.6386
标题:Pure enantiomeric 1,8-bridged-4-quinolo-3-carboxylic acids, process for their preparation and medicaments containing them, and their use in the preparation of medicaments
作者:B鰏hagen, H.; Stoltefuss, J.; Berschauer, F.; De Jong, A.; Scheer, M. (Bayer AG)
来源:DE 3543513; EP 0225552; JP 1987145088
合成路线图解说明:

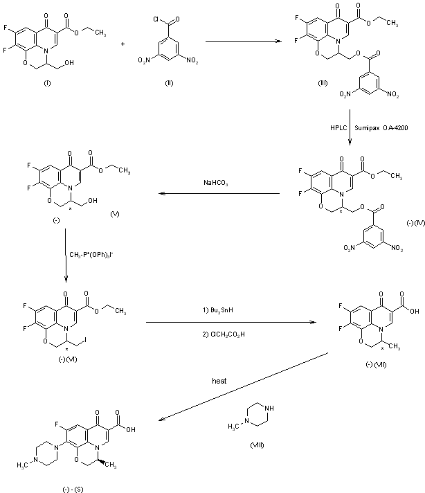
9,10-Difluoro-3-(hydroxymethyl)-7-oxo-2,3-dihydro-7H-pyrido[1,2,3-de]-1,4-benzoxazine-6-carboxylic acid ethyl ester (I), a racemic intermediate in the synthesis of racemic ofloxacin, is esterified with 3,5-dinitrobenzoyl chloride (II) in the usual way to give the racemic ester (III), which is resolved into its optical isomers by HPLC over a SUMIPAX OA-4200 column, using hexane-1,2-dichloroethane-ethanol as carrier solvent. The (-)-optical isomer (IV) is partially hydrolyzed with ethanolic aqueous NaHCO3 to afford the (-)-alcohol (V), which is treated with triphenylphosphite methiodide in DMF giving the corresponding (-)-iodomethyl derivative (VI). The reduction and simultaneous hydrolysis of (VI) with tributyltin hydride in ethanol yields (-)-9,10-difluoro-3-methyl-7-oxo-2,3-dihydro-7H-pyrido[1,2,3-de]-1,4-benzoxazine-6-carboxylic acid (VII), which is finally treated with N-methylpiperazine (VIII) to give (-)-ofloxacin.

参考文献No.7559
标题:Quinolinecarboxylic acid derivs. and method for their preparation
作者:Yoneda, N.; Kato, J.; Hayashi, K.; Ochiani, T.; Kinashi, K. (Tanabe Seiyaku Co., Ltd.)
来源:EP 0095163; ES 8603427; US 4508727
合成路线图解说明:

9,10-Difluoro-3-(hydroxymethyl)-7-oxo-2,3-dihydro-7H-pyrido[1,2,3-de]-1,4-benzoxazine-6-carboxylic acid ethyl ester (I), a racemic intermediate in the synthesis of racemic ofloxacin, is esterified with 3,5-dinitrobenzoyl chloride (II) in the usual way to give the racemic ester (III), which is resolved into its optical isomers by HPLC over a SUMIPAX OA-4200 column, using hexane-1,2-dichloroethane-ethanol as carrier solvent. The (-)-optical isomer (IV) is partially hydrolyzed with ethanolic aqueous NaHCO3 to afford the (-)-alcohol (V), which is treated with triphenylphosphite methiodide in DMF giving the corresponding (-)-iodomethyl derivative (VI). The reduction and simultaneous hydrolysis of (VI) with tributyltin hydride in ethanol yields (-)-9,10-difluoro-3-methyl-7-oxo-2,3-dihydro-7H-pyrido[1,2,3-de]-1,4-benzoxazine-6-carboxylic acid (VII), which is finally treated with N-methylpiperazine (VIII) to give (-)-ofloxacin.

合成路线图解说明:

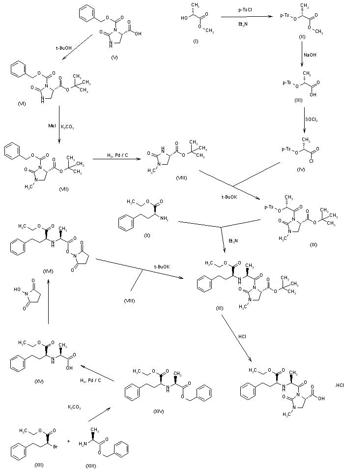
This compound can be obtained by two related ways: 1) The condensation of 2-O-(p-toluenesulfonyl)-D-lactoyl chloride (IV) with 1-methyl-2-oxoimidazolidine-4(S)-carboxylic acid tert-butyl ester (VIII) by means of potassium tert-butoxide in THF gives 1-methyl-2-oxo-3-[2(R)-(p-toluenesulfonyloxy)propionyl]imidazolidine-4(S)-carboxylic acid tert-butyl ester (IX), which is then condensed with 2(S)-amino-4-phenylbutyric acid ethyl ester (X) by means of triethylamine in DMSO yielding 3-[N-[1(S)-(ethoxycarbonyl)-3-phenylpropyl]-L-alanyl]-1-methyl-2-oxoimidazolidine-4(S)-carboxylic acid tert-butyl ester (XI). Finally, this compound is hydrolyzed with HCl in dioxane - water. The starting compounds (IV) and (VIII) are obtained as follows: a) The condensation of D-lactic acid methyl ester with p-toluenesulfonyl chloride and triethylamine gives the corresponding sulfonate (II), which is hydrolyzed with NaOH to the free acid (III). Finally, this compound is treated with refluxing SOCl2 to give acid chloride (IV). b) The esterification of 3-(benzyloxycarbonyl)-2-oxoimidazolidine-4(S)-carboxylic acid (V) with tert-butanol gives the corresponding ester (VI), which is methylated with methyl iodide and K2CO3 to 3-(benzyloxycarbonyl)-1-methyl-2-oxoimidazolidine-4(S)-carboxylic acid tert-butyl ester (VII). This compound is debenzylated by hydrogenation with H2 over Pd/C to afford imidazolidine ester (VIII). 2) The condensation of 2(S)-bromo-4-phenylbutyric acid ethyl ester (XII) with L-alanine benzyl ester (XIII) by means of K2CO3 in DMSO gives N-[1(S)-(ethoxycarbonyl)-3-phenylpropyl]-L-alanine benzyl ester (XIV), which is debenzylated by hydrogenation as before yielding the free acid (XV). The esterification of (XV) with N-hydroxysuccinimide gives the corresponding active ester (XVI), which is finally condensed with imidazolidine ester (VIII) by means of potassium tert-butoxide to afford the precursor (XI) already obtained.

参考文献No.17886
标题:Method for the preparation of pyridobenzoxazin derivs. and their intermediates
作者:Egawa, H.; Miyamoto, H.; Matsumoto, J. (Dainippon Pharmaceutical Co., Ltd.)
来源:JP 1987215591
合成路线图解说明:

9,10-Difluoro-3-(hydroxymethyl)-7-oxo-2,3-dihydro-7H-pyrido[1,2,3-de]-1,4-benzoxazine-6-carboxylic acid ethyl ester (I), a racemic intermediate in the synthesis of racemic ofloxacin, is esterified with 3,5-dinitrobenzoyl chloride (II) in the usual way to give the racemic ester (III), which is resolved into its optical isomers by HPLC over a SUMIPAX OA-4200 column, using hexane-1,2-dichloroethane-ethanol as carrier solvent. The (-)-optical isomer (IV) is partially hydrolyzed with ethanolic aqueous NaHCO3 to afford the (-)-alcohol (V), which is treated with triphenylphosphite methiodide in DMF giving the corresponding (-)-iodomethyl derivative (VI). The reduction and simultaneous hydrolysis of (VI) with tributyltin hydride in ethanol yields (-)-9,10-difluoro-3-methyl-7-oxo-2,3-dihydro-7H-pyrido[1,2,3-de]-1,4-benzoxazine-6-carboxylic acid (VII), which is finally treated with N-methylpiperazine (VIII) to give (-)-ofloxacin.

参考文献No.61552
标题:Preparation of levofloxacin and forms thereof
作者:Gershon, N.; Wizel, S.; Niddam-Hildesheim, V.; Amir, E. (Teva Pharmaceutical Industries Ltd.; Teva Pharmaceuticals USA, Inc.)
来源:WO 0328664
合成路线图解说明:

9,10-Difluoro-3-(hydroxymethyl)-7-oxo-2,3-dihydro-7H-pyrido[1,2,3-de]-1,4-benzoxazine-6-carboxylic acid ethyl ester (I), a racemic intermediate in the synthesis of racemic ofloxacin, is esterified with 3,5-dinitrobenzoyl chloride (II) in the usual way to give the racemic ester (III), which is resolved into its optical isomers by HPLC over a SUMIPAX OA-4200 column, using hexane-1,2-dichloroethane-ethanol as carrier solvent. The (-)-optical isomer (IV) is partially hydrolyzed with ethanolic aqueous NaHCO3 to afford the (-)-alcohol (V), which is treated with triphenylphosphite methiodide in DMF giving the corresponding (-)-iodomethyl derivative (VI). The reduction and simultaneous hydrolysis of (VI) with tributyltin hydride in ethanol yields (-)-9,10-difluoro-3-methyl-7-oxo-2,3-dihydro-7H-pyrido[1,2,3-de]-1,4-benzoxazine-6-carboxylic acid (VII), which is finally treated with N-methylpiperazine (VIII) to give (-)-ofloxacin.

参考文献No.178384
标题:Levofloxacin
作者:Prous, J.; Casta馿r, J.
来源:Drugs Fut 1992,17(7),559
合成路线图解说明:

9,10-Difluoro-3-(hydroxymethyl)-7-oxo-2,3-dihydro-7H-pyrido[1,2,3-de]-1,4-benzoxazine-6-carboxylic acid ethyl ester (I), a racemic intermediate in the synthesis of racemic ofloxacin, is esterified with 3,5-dinitrobenzoyl chloride (II) in the usual way to give the racemic ester (III), which is resolved into its optical isomers by HPLC over a SUMIPAX OA-4200 column, using hexane-1,2-dichloroethane-ethanol as carrier solvent. The (-)-optical isomer (IV) is partially hydrolyzed with ethanolic aqueous NaHCO3 to afford the (-)-alcohol (V), which is treated with triphenylphosphite methiodide in DMF giving the corresponding (-)-iodomethyl derivative (VI). The reduction and simultaneous hydrolysis of (VI) with tributyltin hydride in ethanol yields (-)-9,10-difluoro-3-methyl-7-oxo-2,3-dihydro-7H-pyrido[1,2,3-de]-1,4-benzoxazine-6-carboxylic acid (VII), which is finally treated with N-methylpiperazine (VIII) to give (-)-ofloxacin.

参考文献No.178456
标题:Synthesis and antibacterial activities of optically active ofloxacin
作者:Hayakawa, I.; Yokohama, S.; Imamura, M.; Atarashi, S.; Furukawa, M.; Sakano, K.-I.
来源:Antimicrob Agents Chemother 1986,29(1),163-4
合成路线图解说明:

9,10-Difluoro-3-(hydroxymethyl)-7-oxo-2,3-dihydro-7H-pyrido[1,2,3-de]-1,4-benzoxazine-6-carboxylic acid ethyl ester (I), a racemic intermediate in the synthesis of racemic ofloxacin, is esterified with 3,5-dinitrobenzoyl chloride (II) in the usual way to give the racemic ester (III), which is resolved into its optical isomers by HPLC over a SUMIPAX OA-4200 column, using hexane-1,2-dichloroethane-ethanol as carrier solvent. The (-)-optical isomer (IV) is partially hydrolyzed with ethanolic aqueous NaHCO3 to afford the (-)-alcohol (V), which is treated with triphenylphosphite methiodide in DMF giving the corresponding (-)-iodomethyl derivative (VI). The reduction and simultaneous hydrolysis of (VI) with tributyltin hydride in ethanol yields (-)-9,10-difluoro-3-methyl-7-oxo-2,3-dihydro-7H-pyrido[1,2,3-de]-1,4-benzoxazine-6-carboxylic acid (VII), which is finally treated with N-methylpiperazine (VIII) to give (-)-ofloxacin.

参考文献No.179090
标题:Chiral DNA gyrase inhibitors. 2. Asymmetric synthesis and biological activity of the enantiomers of 9-fluoro-3-methyl-10-(4-methyl-1-piperazinyl)-7-oxo-2,3-dihydro-7H-pyrido[1,2,3-de]-1,4-benzoxazine-6-carboxylic acid (ofloxacin)
作者:Mitscher, L.A.; Sharma, P.N.; Chu, D.T.W.; Shen, L.L.; Pernet, A.G.
来源:J Med Chem 1987,30(12),2283-6
合成路线图解说明:

9,10-Difluoro-3-(hydroxymethyl)-7-oxo-2,3-dihydro-7H-pyrido[1,2,3-de]-1,4-benzoxazine-6-carboxylic acid ethyl ester (I), a racemic intermediate in the synthesis of racemic ofloxacin, is esterified with 3,5-dinitrobenzoyl chloride (II) in the usual way to give the racemic ester (III), which is resolved into its optical isomers by HPLC over a SUMIPAX OA-4200 column, using hexane-1,2-dichloroethane-ethanol as carrier solvent. The (-)-optical isomer (IV) is partially hydrolyzed with ethanolic aqueous NaHCO3 to afford the (-)-alcohol (V), which is treated with triphenylphosphite methiodide in DMF giving the corresponding (-)-iodomethyl derivative (VI). The reduction and simultaneous hydrolysis of (VI) with tributyltin hydride in ethanol yields (-)-9,10-difluoro-3-methyl-7-oxo-2,3-dihydro-7H-pyrido[1,2,3-de]-1,4-benzoxazine-6-carboxylic acid (VII), which is finally treated with N-methylpiperazine (VIII) to give (-)-ofloxacin.

参考文献No.642417
标题:Synthesis of [11C]levofloxacin
作者:Burnazi, E.M.; Berridge, M.S.
来源:J Label Compd Radiopharm 2001,44(12),859
合成路线图解说明:

The methylation of commercially available des-methyl levofloxacin (I) with 11C-methyl iodide and NaOH in DMF or DMA at 150?C gives the target labeled levofloxacin.

Drug Information Express,Drug R&D,Chemical Database,Patent Search.
Copyright © 2006-2026 Drug Future. All rights reserved.Contact Us