【药物名称】ZK-90055
化学结构式(Chemical Structure):
参考文献No.42023
标题:Indole derivatives pharmaceutical preparations based thereon and beta -receptor stimulation therewith
作者:Heindl, J.; Loge, O. (Schering AG)
来源:DE 3115993; EP 0062919; GB 2098205; JP 58004765; US 4835175
合成路线图解说明:

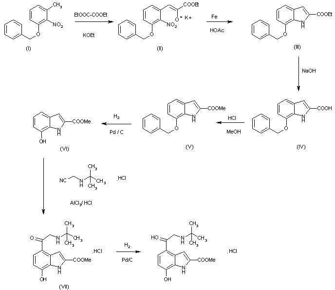
The reaction of 3-benzyloxy-2-nitrotoluene (I) with diethyl oxalate and potassium ethoxide yields the potassium salt (II), which on reduction with iron in acetic acid atfords ethyl 7-benzyloxyindole-2-carboxylate (III). After hydrolysis of (III), 7-benzyloxyindole-2 carboxylic acid (IV) is formed, which by treatment with methanolic HCl is converted to methyl 7-benzyloxyindole-2-carboxylate (V). Debenzylation of (V) with H2 over Pd/C affords methyl 7-hydroxyindole-2-carboxylate (VI). Reaction of (VI) with tert-butylaminoacetonitrile hydrochloride in the presence of AlCl3/HCl and catalytic hdrogenation of the resulting aminoketone hydrochloride (VII) over Pd/C gives ZK-90055.

参考文献No.79463
标题:ZK-90055
作者:Loge, O.; heindl, J.; Albrecht, R.; Losert, W.
来源:Drugs Fut 1987,12(12),1122
合成路线图解说明:

The reaction of 3-benzyloxy-2-nitrotoluene (I) with diethyl oxalate and potassium ethoxide yields the potassium salt (II), which on reduction with iron in acetic acid atfords ethyl 7-benzyloxyindole-2-carboxylate (III). After hydrolysis of (III), 7-benzyloxyindole-2 carboxylic acid (IV) is formed, which by treatment with methanolic HCl is converted to methyl 7-benzyloxyindole-2-carboxylate (V). Debenzylation of (V) with H2 over Pd/C affords methyl 7-hydroxyindole-2-carboxylate (VI). Reaction of (VI) with tert-butylaminoacetonitrile hydrochloride in the presence of AlCl3/HCl and catalytic hdrogenation of the resulting aminoketone hydrochloride (VII) over Pd/C gives ZK-90055.

参考文献No.700221
标题:Beta2-Agonists containing metanolically labile groups. II. The influence of ester groups in the aryl system
作者:Loge, O.; Heindl, J.; Albrecht, R.
来源:Eur J Med Chem - Chim Ther 1985,2057
合成路线图解说明:

The reaction of 3-benzyloxy-2-nitrotoluene (I) with diethyl oxalate and potassium ethoxide yields the potassium salt (II), which on reduction with iron in acetic acid atfords ethyl 7-benzyloxyindole-2-carboxylate (III). After hydrolysis of (III), 7-benzyloxyindole-2 carboxylic acid (IV) is formed, which by treatment with methanolic HCl is converted to methyl 7-benzyloxyindole-2-carboxylate (V). Debenzylation of (V) with H2 over Pd/C affords methyl 7-hydroxyindole-2-carboxylate (VI). Reaction of (VI) with tert-butylaminoacetonitrile hydrochloride in the presence of AlCl3/HCl and catalytic hdrogenation of the resulting aminoketone hydrochloride (VII) over Pd/C gives ZK-90055.

Drug Information Express,Drug R&D,Chemical Database,Patent Search.
Copyright © 2006-2026 Drug Future. All rights reserved.Contact Us