【药物名称】NSC-638850, KW-2401, UCN-01
化学结构式(Chemical Structure):
参考文献No.47225
标题:Staurosporin derivatives
作者:Murakata, C.; Sato, A.; Kasai, M.; Morimoto, M.; Akinaga, S. (Kyowa Hakko Kogyo Co., Ltd.)
来源:EP 0383919; JP 2766360B2; WO 8907105
合成路线图解说明:

The reaction of staurosporine (I) with benzyl chloroformate (II) by means of NaHCO3 in acetone gives the N-protected compound (II), which is oxidized with lead tetraacetate in HOAc to yield the hydroxy compound (III). Finally, this compound is deprotected by hydrogenation with H2 over Pd/C in DMF to obtain the target hydroxy staurosporine.

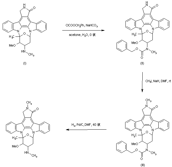
合成路线图解说明:

The known antibiotic staurosporine (I) was protected as the N-benzyloxycarbonyl derivative (II) by treatment with benzyl chloroformate in the presence of NaHCO3. Subsequent alkylation of (II) at the 2-N atom by treatment with iodomethane and NaH in DMF provided the N-methyl derivative (III). Finally, deprotection of the benzyloxycarbonyl group of (III) by hydrogenation over Pd/C furnished the title compound.

Drug Information Express,Drug R&D,Chemical Database,Patent Search.
Copyright © 2006-2026 Drug Future. All rights reserved.Contact Us