【药物名称】SDZ-62-834zi, NSC-614383, CRC-8605, SRI-62-834
化学结构式(Chemical Structure):
参考文献No.5890
标题:Substd. hydroxy-heterocyclyl-alkoxy-phosphinyloxy-trialkylaminium-hydroxide inner salt oxides, processes for their preparation and their use as pharmaceuticals
作者:Houlihan, W.J.; Lee, M.L. (Novartis AG; Novartis Deutschland GmbH)
来源:AU 8662038; EP 0213082; JP 1987051692
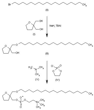
合成路线图解说明:

The reaction of tetrahydrofuran-2,2-dimethanol (I) with 1 mole of octadecyl bromide (II) by means of KOH in DMSO gives the monoether (III), which is finally condensed with 2-chloro-2-oxo-1,3,2-dioxaphospholane (IV) and triethylamine in benzene to afford the target compound.

Drug Information Express,Drug R&D,Chemical Database,Patent Search.
Copyright © 2006-2026 Drug Future. All rights reserved.Contact Us