【药物名称】Anmetarin(cataplasm), Flurbiprofen, MKS-11, BTS-18322, U-27182, Ocuflur, Ocufen, Antadys, Yakuban(plaster), Cebutid, Flugalin, Ansaid, Froben, Flurofen
化学结构式(Chemical Structure):
参考文献No.57701
标题:Flurbiprofen
作者:Thorpe, P.; Casta馿r, J.
来源:Drugs Fut 1976,1(7),323
合成路线图解说明:

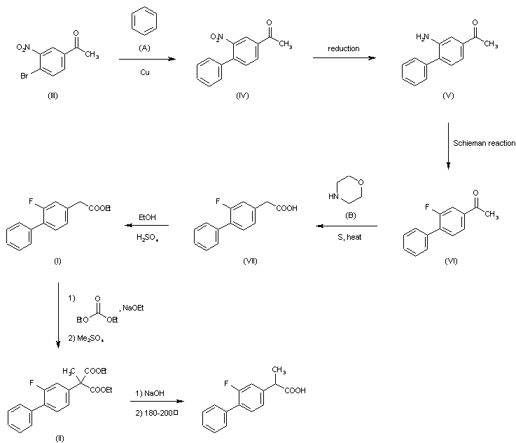
By reaction of ethyl 2-fluoro-4-biphenylylacetate (I) first with diethyl carbonate and sodium ethoxide, and then with dimethyl sulfate in ethanol to give diethyl 2-fluoro-4-biphenylyl-alpha-methylmalonate (II), which was hydrolyzed with NaOH in ethanol and finally decarboxylated at 180-200 C. The starting product (I) was obtained as follows: the Ullman condensation of 4-bromo-3-nitroacetophenone (III) gives 2-nitro-4-acetylbiphenyl (IV), which was reduced to the corresponding amino compound (V). This, by the Schieman reaction was converted into 2-fluoro-4-acetylbiphenyl (VI), which by heating with sulfur and morpholine (B) gave 2-fluoro-4-biphenylylacetic acid (VII), and finally (VII) was esterified by refluxing with ethanol and H2SO4.

参考文献No.701139
标题:2-(Mono- and difluoro-4-biphenyl)propionic acids
作者:Adams, S.S.; et al.
来源:US 3755427
合成路线图解说明:

By reaction of ethyl 2-fluoro-4-biphenylylacetate (I) first with diethyl carbonate and sodium ethoxide, and then with dimethyl sulfate in ethanol to give diethyl 2-fluoro-4-biphenylyl-alpha-methylmalonate (II), which was hydrolyzed with NaOH in ethanol and finally decarboxylated at 180-200 C. The starting product (I) was obtained as follows: the Ullman condensation of 4-bromo-3-nitroacetophenone (III) gives 2-nitro-4-acetylbiphenyl (IV), which was reduced to the corresponding amino compound (V). This, by the Schieman reaction was converted into 2-fluoro-4-acetylbiphenyl (VI), which by heating with sulfur and morpholine (B) gave 2-fluoro-4-biphenylylacetic acid (VII), and finally (VII) was esterified by refluxing with ethanol and H2SO4.

Drug Information Express,Drug R&D,Chemical Database,Patent Search.
Copyright © 2006-2026 Drug Future. All rights reserved.Contact Us