【药物名称】Isosorbide 5-mononitrate, TY-368-OD(sustained release), BM-22145, AHR-4698, IS-5-MN, Isotard XL, Dilavenil, Uniket, Monicor, Monoket, Imdur(extended release), Ismo
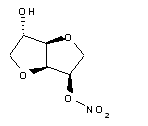
化学结构式(Chemical Structure):
参考文献No.59245
标题:Process for the preparation of isosorbide-5-mononitrate
作者:Camera, E.; Filipuzzi, F.; De Lucchi, O.; Modena, G. (Consiglio Nazionale delle Ricerche)
来源:EP 0201067; US 4713466
合成路线图解说明:

1. The nitration of isosorbide (I) with fuming HNO3 in acetic acid/acetic anhydride gives the dinitrate (II), which is selectively monoreduced by means of diisopropyltitanium tetrahydroborate (obtained by reaction of disopropyltitanium dichloride with benzyltriethylammonium borohydride) in dichloromethane to afford the isosorbide 5-nitrate. 2. The reduction of dinitrate (II) can also be performed with benzyl triethyl ammonium tetrathiomolibdate in DMF. 3. The reduction of dinitrate (II) can also be performed with H2 over PtO2/C in methanol. 4. The reduction of dinitrate (II) can also be performed with cobalt phthalocyanine and NaBH4 in methanol. 5. The reduction of dinitrate (II) can also be performed with Zn and HOAc in ethanol/water. 6. The reduction of dinitrate (II) can also be performed with H2 over Pd/C and NiCl2 in ethanol/water. 7. The reaction of isosorbide (I) with 4-nitrobenzoyl chloride (III) and pyridine in dichloromethane gives the isosorbide 2-O-(4-nitrobenzoate (IV), which is nitrated with HNO3 in acetic acid/acetic anhydride to yield the isosorbide 5-O-nitrate-2-O-(4-nitrobenzoate) (V). Finally, this compound is selectively hydrolyzed with KOH in methanol/dichloromethane.

参考文献No.59246
标题:Process for the preparation of isosorbide-5-nitrate
作者:Gallardo Carrera, A. (Fordonal SL)
来源:ES 8402305
合成路线图解说明:

1. The nitration of isosorbide (I) with fuming HNO3 in acetic acid/acetic anhydride gives the dinitrate (II), which is selectively monoreduced by means of diisopropyltitanium tetrahydroborate (obtained by reaction of disopropyltitanium dichloride with benzyltriethylammonium borohydride) in dichloromethane to afford the isosorbide 5-nitrate. 2. The reduction of dinitrate (II) can also be performed with benzyl triethyl ammonium tetrathiomolibdate in DMF. 3. The reduction of dinitrate (II) can also be performed with H2 over PtO2/C in methanol. 4. The reduction of dinitrate (II) can also be performed with cobalt phthalocyanine and NaBH4 in methanol. 5. The reduction of dinitrate (II) can also be performed with Zn and HOAc in ethanol/water. 6. The reduction of dinitrate (II) can also be performed with H2 over Pd/C and NiCl2 in ethanol/water. 7. The reaction of isosorbide (I) with 4-nitrobenzoyl chloride (III) and pyridine in dichloromethane gives the isosorbide 2-O-(4-nitrobenzoate (IV), which is nitrated with HNO3 in acetic acid/acetic anhydride to yield the isosorbide 5-O-nitrate-2-O-(4-nitrobenzoate) (V). Finally, this compound is selectively hydrolyzed with KOH in methanol/dichloromethane.

参考文献No.59248
标题:Synthesis of isosorbide mononitrate
作者:Roberts, S.M.; Marston, R.W.; Quigley, P.F.; Brown, C.M.; Cross, S.J. (Clariant Life Science Molecules SpA)
来源:EP 1248788; WO 0149692
合成路线图解说明:

1. The nitration of isosorbide (I) with fuming HNO3 in acetic acid/acetic anhydride gives the dinitrate (II), which is selectively monoreduced by means of diisopropyltitanium tetrahydroborate (obtained by reaction of disopropyltitanium dichloride with benzyltriethylammonium borohydride) in dichloromethane to afford the isosorbide 5-nitrate. 2. The reduction of dinitrate (II) can also be performed with benzyl triethyl ammonium tetrathiomolibdate in DMF. 3. The reduction of dinitrate (II) can also be performed with H2 over PtO2/C in methanol. 4. The reduction of dinitrate (II) can also be performed with cobalt phthalocyanine and NaBH4 in methanol. 5. The reduction of dinitrate (II) can also be performed with Zn and HOAc in ethanol/water. 6. The reduction of dinitrate (II) can also be performed with H2 over Pd/C and NiCl2 in ethanol/water. 7. The reaction of isosorbide (I) with 4-nitrobenzoyl chloride (III) and pyridine in dichloromethane gives the isosorbide 2-O-(4-nitrobenzoate (IV), which is nitrated with HNO3 in acetic acid/acetic anhydride to yield the isosorbide 5-O-nitrate-2-O-(4-nitrobenzoate) (V). Finally, this compound is selectively hydrolyzed with KOH in methanol/dichloromethane.

参考文献No.59249
标题:Synthesis of isosorbide cpds.
作者:Roberts, S.M.; Marston, R.W.; Quigley, P.F.; Brown, C.M. (Clariant Life Science Molecules SpA)
来源:GB 2358859
合成路线图解说明:

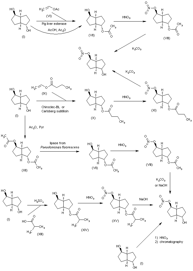
8. The enantioselective monoacetylation of isosorbide (I) by means of vinyl acetate (VI) catalyzed by Pig liver esterase in dichloromethane gives isosorbide 2-O-acetate (VII), which is nitrated with HNO3 in acetic anhydride to yield isosorbide 2-O-acetate-5-O-nitrate (VIII). Finally, this compound is deacetylated by means of K2CO3 in methanol. 9. The enantioselective monoacylation of isosorbide (I) by means of vinyl butyrate (IX) catalyzed by Chiraclec-BL in THF or Carlsberg subtilisin in tert-butanol gives isosorbide 2-O-butyrate (X), which is nitrated with HNO3 in acetic anhydride to yield isosorbide 2-O-butyrate-5-O-nitrate (XI). Finally, this compound is deacylated by means of K2CO3 in methanol. 10. The acylation of isosorbide (I) with acetic anhydride and pyridine gives the diacetate (XII), which is enantioselectively monodeacetylated by means of lipase from Pseudomonas fluorescens in THF to yield isosorbide 2-O-acetate (VII). This compound is then nitrated to (VIII) and finally deacetylated as already described. 11. The acylation of isosorbide (I) with HOAc and Ac2O gives (after purification by crystallization) isosorbide 2-O-acetate (VII), which is nitrated to (VIII) and finally deacetylated as already described. 12. The acylation of isosorbide (I) with isobutyric acid (XIII) by means of sulfuric acid in refluxing chlorobenzene/toluene gives isosorbide 2-O-isobutyrate (XIV), which is nitrated with HNO3/H2SO4 to yield isosorbide 2-O-isobutyrate-5-O-nitrate (XV). Finally, this compound is deacylated by means of NaOH in toluene/water. 13. The nitration of isosorbide (I) by means of HNO3 in HOAc/Ac2O gives a 3.5/1 mixture of isosorbide-5-O-nitrate and isosorbide 2-O-nitrate that is separated by column chromatography over alumina. 14. The nitration of isosorbide (I) with HNO3 in benzene/HOAc/Ac2O, followed by a purification step yields the target isosorbide-5-O-nitrate.

参考文献No.59251
标题:Process for the preparation of isosorbide-5-nitrate
作者:Stoss, P. (Heinrich Mack)
来源:DE 3102947; EP 0057847; US 4371703
合成路线图解说明:

8. The enantioselective monoacetylation of isosorbide (I) by means of vinyl acetate (VI) catalyzed by Pig liver esterase in dichloromethane gives isosorbide 2-O-acetate (VII), which is nitrated with HNO3 in acetic anhydride to yield isosorbide 2-O-acetate-5-O-nitrate (VIII). Finally, this compound is deacetylated by means of K2CO3 in methanol. 9. The enantioselective monoacylation of isosorbide (I) by means of vinyl butyrate (IX) catalyzed by Chiraclec-BL in THF or Carlsberg subtilisin in tert-butanol gives isosorbide 2-O-butyrate (X), which is nitrated with HNO3 in acetic anhydride to yield isosorbide 2-O-butyrate-5-O-nitrate (XI). Finally, this compound is deacylated by means of K2CO3 in methanol. 10. The acylation of isosorbide (I) with acetic anhydride and pyridine gives the diacetate (XII), which is enantioselectively monodeacetylated by means of lipase from Pseudomonas fluorescens in THF to yield isosorbide 2-O-acetate (VII). This compound is then nitrated to (VIII) and finally deacetylated as already described. 11. The acylation of isosorbide (I) with HOAc and Ac2O gives (after purification by crystallization) isosorbide 2-O-acetate (VII), which is nitrated to (VIII) and finally deacetylated as already described. 12. The acylation of isosorbide (I) with isobutyric acid (XIII) by means of sulfuric acid in refluxing chlorobenzene/toluene gives isosorbide 2-O-isobutyrate (XIV), which is nitrated with HNO3/H2SO4 to yield isosorbide 2-O-isobutyrate-5-O-nitrate (XV). Finally, this compound is deacylated by means of NaOH in toluene/water. 13. The nitration of isosorbide (I) by means of HNO3 in HOAc/Ac2O gives a 3.5/1 mixture of isosorbide-5-O-nitrate and isosorbide 2-O-nitrate that is separated by column chromatography over alumina. 14. The nitration of isosorbide (I) with HNO3 in benzene/HOAc/Ac2O, followed by a purification step yields the target isosorbide-5-O-nitrate.

参考文献No.59252
标题:Process for the preparation of 1,4:3,6-dianhydro-D-glucite 5-nitrate (isosorbide-5-nitrate)
作者:Lauer, K.; Kiegel, E. (Boehringer Ingelheim GmbH)
来源:DE 3028873; EP 0045076; US 4431829
合成路线图解说明:

8. The enantioselective monoacetylation of isosorbide (I) by means of vinyl acetate (VI) catalyzed by Pig liver esterase in dichloromethane gives isosorbide 2-O-acetate (VII), which is nitrated with HNO3 in acetic anhydride to yield isosorbide 2-O-acetate-5-O-nitrate (VIII). Finally, this compound is deacetylated by means of K2CO3 in methanol. 9. The enantioselective monoacylation of isosorbide (I) by means of vinyl butyrate (IX) catalyzed by Chiraclec-BL in THF or Carlsberg subtilisin in tert-butanol gives isosorbide 2-O-butyrate (X), which is nitrated with HNO3 in acetic anhydride to yield isosorbide 2-O-butyrate-5-O-nitrate (XI). Finally, this compound is deacylated by means of K2CO3 in methanol. 10. The acylation of isosorbide (I) with acetic anhydride and pyridine gives the diacetate (XII), which is enantioselectively monodeacetylated by means of lipase from Pseudomonas fluorescens in THF to yield isosorbide 2-O-acetate (VII). This compound is then nitrated to (VIII) and finally deacetylated as already described. 11. The acylation of isosorbide (I) with HOAc and Ac2O gives (after purification by crystallization) isosorbide 2-O-acetate (VII), which is nitrated to (VIII) and finally deacetylated as already described. 12. The acylation of isosorbide (I) with isobutyric acid (XIII) by means of sulfuric acid in refluxing chlorobenzene/toluene gives isosorbide 2-O-isobutyrate (XIV), which is nitrated with HNO3/H2SO4 to yield isosorbide 2-O-isobutyrate-5-O-nitrate (XV). Finally, this compound is deacylated by means of NaOH in toluene/water. 13. The nitration of isosorbide (I) by means of HNO3 in HOAc/Ac2O gives a 3.5/1 mixture of isosorbide-5-O-nitrate and isosorbide 2-O-nitrate that is separated by column chromatography over alumina. 14. The nitration of isosorbide (I) with HNO3 in benzene/HOAc/Ac2O, followed by a purification step yields the target isosorbide-5-O-nitrate.

参考文献No.59253
标题:Process for the preparation of 5-isosorbide nitrate
作者:Sch鰊afinger, K. (Cassella AG)
来源:DE 3117612; EP 0064194; US 4431830
合成路线图解说明:

8. The enantioselective monoacetylation of isosorbide (I) by means of vinyl acetate (VI) catalyzed by Pig liver esterase in dichloromethane gives isosorbide 2-O-acetate (VII), which is nitrated with HNO3 in acetic anhydride to yield isosorbide 2-O-acetate-5-O-nitrate (VIII). Finally, this compound is deacetylated by means of K2CO3 in methanol. 9. The enantioselective monoacylation of isosorbide (I) by means of vinyl butyrate (IX) catalyzed by Chiraclec-BL in THF or Carlsberg subtilisin in tert-butanol gives isosorbide 2-O-butyrate (X), which is nitrated with HNO3 in acetic anhydride to yield isosorbide 2-O-butyrate-5-O-nitrate (XI). Finally, this compound is deacylated by means of K2CO3 in methanol. 10. The acylation of isosorbide (I) with acetic anhydride and pyridine gives the diacetate (XII), which is enantioselectively monodeacetylated by means of lipase from Pseudomonas fluorescens in THF to yield isosorbide 2-O-acetate (VII). This compound is then nitrated to (VIII) and finally deacetylated as already described. 11. The acylation of isosorbide (I) with HOAc and Ac2O gives (after purification by crystallization) isosorbide 2-O-acetate (VII), which is nitrated to (VIII) and finally deacetylated as already described. 12. The acylation of isosorbide (I) with isobutyric acid (XIII) by means of sulfuric acid in refluxing chlorobenzene/toluene gives isosorbide 2-O-isobutyrate (XIV), which is nitrated with HNO3/H2SO4 to yield isosorbide 2-O-isobutyrate-5-O-nitrate (XV). Finally, this compound is deacylated by means of NaOH in toluene/water. 13. The nitration of isosorbide (I) by means of HNO3 in HOAc/Ac2O gives a 3.5/1 mixture of isosorbide-5-O-nitrate and isosorbide 2-O-nitrate that is separated by column chromatography over alumina. 14. The nitration of isosorbide (I) with HNO3 in benzene/HOAc/Ac2O, followed by a purification step yields the target isosorbide-5-O-nitrate.

参考文献No.59254
标题:Mononitrate esters of 1,4:3,6-dianhydro-d-glucitol
作者:Dvonch, W.; Alburn, H.E. (Wyeth)
来源:DE 2221080; GB 1356374; US 3886186
合成路线图解说明:

8. The enantioselective monoacetylation of isosorbide (I) by means of vinyl acetate (VI) catalyzed by Pig liver esterase in dichloromethane gives isosorbide 2-O-acetate (VII), which is nitrated with HNO3 in acetic anhydride to yield isosorbide 2-O-acetate-5-O-nitrate (VIII). Finally, this compound is deacetylated by means of K2CO3 in methanol. 9. The enantioselective monoacylation of isosorbide (I) by means of vinyl butyrate (IX) catalyzed by Chiraclec-BL in THF or Carlsberg subtilisin in tert-butanol gives isosorbide 2-O-butyrate (X), which is nitrated with HNO3 in acetic anhydride to yield isosorbide 2-O-butyrate-5-O-nitrate (XI). Finally, this compound is deacylated by means of K2CO3 in methanol. 10. The acylation of isosorbide (I) with acetic anhydride and pyridine gives the diacetate (XII), which is enantioselectively monodeacetylated by means of lipase from Pseudomonas fluorescens in THF to yield isosorbide 2-O-acetate (VII). This compound is then nitrated to (VIII) and finally deacetylated as already described. 11. The acylation of isosorbide (I) with HOAc and Ac2O gives (after purification by crystallization) isosorbide 2-O-acetate (VII), which is nitrated to (VIII) and finally deacetylated as already described. 12. The acylation of isosorbide (I) with isobutyric acid (XIII) by means of sulfuric acid in refluxing chlorobenzene/toluene gives isosorbide 2-O-isobutyrate (XIV), which is nitrated with HNO3/H2SO4 to yield isosorbide 2-O-isobutyrate-5-O-nitrate (XV). Finally, this compound is deacylated by means of NaOH in toluene/water. 13. The nitration of isosorbide (I) by means of HNO3 in HOAc/Ac2O gives a 3.5/1 mixture of isosorbide-5-O-nitrate and isosorbide 2-O-nitrate that is separated by column chromatography over alumina. 14. The nitration of isosorbide (I) with HNO3 in benzene/HOAc/Ac2O, followed by a purification step yields the target isosorbide-5-O-nitrate.

参考文献No.59255
标题:A method for the preparation of isosorbide-5-nitrate and sodium isosorbide-5-nitrate hydrate as a precursor thereof
作者:Ito, T.; Ishibashi, K.; Ishiguro, S.; Shimada, F.
来源:EP 0143507; US 4584391
合成路线图解说明:

8. The enantioselective monoacetylation of isosorbide (I) by means of vinyl acetate (VI) catalyzed by Pig liver esterase in dichloromethane gives isosorbide 2-O-acetate (VII), which is nitrated with HNO3 in acetic anhydride to yield isosorbide 2-O-acetate-5-O-nitrate (VIII). Finally, this compound is deacetylated by means of K2CO3 in methanol. 9. The enantioselective monoacylation of isosorbide (I) by means of vinyl butyrate (IX) catalyzed by Chiraclec-BL in THF or Carlsberg subtilisin in tert-butanol gives isosorbide 2-O-butyrate (X), which is nitrated with HNO3 in acetic anhydride to yield isosorbide 2-O-butyrate-5-O-nitrate (XI). Finally, this compound is deacylated by means of K2CO3 in methanol. 10. The acylation of isosorbide (I) with acetic anhydride and pyridine gives the diacetate (XII), which is enantioselectively monodeacetylated by means of lipase from Pseudomonas fluorescens in THF to yield isosorbide 2-O-acetate (VII). This compound is then nitrated to (VIII) and finally deacetylated as already described. 11. The acylation of isosorbide (I) with HOAc and Ac2O gives (after purification by crystallization) isosorbide 2-O-acetate (VII), which is nitrated to (VIII) and finally deacetylated as already described. 12. The acylation of isosorbide (I) with isobutyric acid (XIII) by means of sulfuric acid in refluxing chlorobenzene/toluene gives isosorbide 2-O-isobutyrate (XIV), which is nitrated with HNO3/H2SO4 to yield isosorbide 2-O-isobutyrate-5-O-nitrate (XV). Finally, this compound is deacylated by means of NaOH in toluene/water. 13. The nitration of isosorbide (I) by means of HNO3 in HOAc/Ac2O gives a 3.5/1 mixture of isosorbide-5-O-nitrate and isosorbide 2-O-nitrate that is separated by column chromatography over alumina. 14. The nitration of isosorbide (I) with HNO3 in benzene/HOAc/Ac2O, followed by a purification step yields the target isosorbide-5-O-nitrate.

参考文献No.591032
标题:New preparative routes to isosorbide 5-mononitrate
作者:Brown, C.; et al.
来源:J Chem Soc - Perkins Trans I 2000,(12),1809
合成路线图解说明:

1. The nitration of isosorbide (I) with fuming HNO3 in acetic acid/acetic anhydride gives the dinitrate (II), which is selectively monoreduced by means of diisopropyltitanium tetrahydroborate (obtained by reaction of disopropyltitanium dichloride with benzyltriethylammonium borohydride) in dichloromethane to afford the isosorbide 5-nitrate. 2. The reduction of dinitrate (II) can also be performed with benzyl triethyl ammonium tetrathiomolibdate in DMF. 3. The reduction of dinitrate (II) can also be performed with H2 over PtO2/C in methanol. 4. The reduction of dinitrate (II) can also be performed with cobalt phthalocyanine and NaBH4 in methanol. 5. The reduction of dinitrate (II) can also be performed with Zn and HOAc in ethanol/water. 6. The reduction of dinitrate (II) can also be performed with H2 over Pd/C and NiCl2 in ethanol/water. 7. The reaction of isosorbide (I) with 4-nitrobenzoyl chloride (III) and pyridine in dichloromethane gives the isosorbide 2-O-(4-nitrobenzoate (IV), which is nitrated with HNO3 in acetic acid/acetic anhydride to yield the isosorbide 5-O-nitrate-2-O-(4-nitrobenzoate) (V). Finally, this compound is selectively hydrolyzed with KOH in methanol/dichloromethane.

参考文献No.710860
标题:Highly chemoselective reduction of 2,5-dinitro-1,4:3,6-dianhydro-D-glucitol with titanium(III) tetrahydroborates: Efficient synthesis of isomerically pure 2- and 5-nitro-1,4:3,6-dianhydro-D-glucitols
作者:Ravikumar, K.S.; Chandrasekaran, S.
来源:Synthesis (Stuttgart) 1994,(10),1032
合成路线图解说明:

1. The nitration of isosorbide (I) with fuming HNO3 in acetic acid/acetic anhydride gives the dinitrate (II), which is selectively monoreduced by means of diisopropyltitanium tetrahydroborate (obtained by reaction of disopropyltitanium dichloride with benzyltriethylammonium borohydride) in dichloromethane to afford the isosorbide 5-nitrate. 2. The reduction of dinitrate (II) can also be performed with benzyl triethyl ammonium tetrathiomolibdate in DMF. 3. The reduction of dinitrate (II) can also be performed with H2 over PtO2/C in methanol. 4. The reduction of dinitrate (II) can also be performed with cobalt phthalocyanine and NaBH4 in methanol. 5. The reduction of dinitrate (II) can also be performed with Zn and HOAc in ethanol/water. 6. The reduction of dinitrate (II) can also be performed with H2 over Pd/C and NiCl2 in ethanol/water. 7. The reaction of isosorbide (I) with 4-nitrobenzoyl chloride (III) and pyridine in dichloromethane gives the isosorbide 2-O-(4-nitrobenzoate (IV), which is nitrated with HNO3 in acetic acid/acetic anhydride to yield the isosorbide 5-O-nitrate-2-O-(4-nitrobenzoate) (V). Finally, this compound is selectively hydrolyzed with KOH in methanol/dichloromethane.

参考文献No.710861
标题:A highly chemoselective reduction of isosorbide-2,5-dinitrate mediated by tetrathiomolybdate
作者:Bhar, D.; Chandrasekaran, S.
来源:Indian J Chem 1997,36B(9),793
合成路线图解说明:

1. The nitration of isosorbide (I) with fuming HNO3 in acetic acid/acetic anhydride gives the dinitrate (II), which is selectively monoreduced by means of diisopropyltitanium tetrahydroborate (obtained by reaction of disopropyltitanium dichloride with benzyltriethylammonium borohydride) in dichloromethane to afford the isosorbide 5-nitrate. 2. The reduction of dinitrate (II) can also be performed with benzyl triethyl ammonium tetrathiomolibdate in DMF. 3. The reduction of dinitrate (II) can also be performed with H2 over PtO2/C in methanol. 4. The reduction of dinitrate (II) can also be performed with cobalt phthalocyanine and NaBH4 in methanol. 5. The reduction of dinitrate (II) can also be performed with Zn and HOAc in ethanol/water. 6. The reduction of dinitrate (II) can also be performed with H2 over Pd/C and NiCl2 in ethanol/water. 7. The reaction of isosorbide (I) with 4-nitrobenzoyl chloride (III) and pyridine in dichloromethane gives the isosorbide 2-O-(4-nitrobenzoate (IV), which is nitrated with HNO3 in acetic acid/acetic anhydride to yield the isosorbide 5-O-nitrate-2-O-(4-nitrobenzoate) (V). Finally, this compound is selectively hydrolyzed with KOH in methanol/dichloromethane.

Drug Information Express,Drug R&D,Chemical Database,Patent Search.
Copyright © 2006-2026 Drug Future. All rights reserved.Contact Us