【药物名称】Ambroxol hydrochloride, NA-872, Mucosolvan, Mucosolvan-L, Mucosal-L, Ponophen
化学结构式(Chemical Structure):
参考文献No.47826
标题:Pharmaceutical compositions for use in the treatment of certain respiratory diseases or conditions in prematurely born children
作者:Keck, J.; et al. (Dr. Karl Thomae GmbH)
来源:BE 0795585; DE 2207460; FR 2181742; GB 1420976
合成路线图解说明:

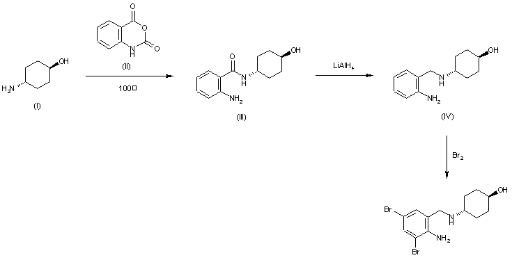
By condensation of trans-4-aminocyclohexanol (I) with isatoic anhydride (II) in hot (100 C) xylene to give 2-amino-N-(trans-4-hydroxycyclohexyl)benzamide (III) , m.p. 219.5-220 C, which is reduced with LiAlH4 in THF to (trans-4-hydroxycyclohexyl)(2-aminobenzyl)amine (IV) (oxalate, m.p. 185-6 C); this product is finally brominated with Br2 in acetic acid.

参考文献No.47827
标题:N-(Hydroxycyclohexyl)aminobenzylamines and the salts thereof
作者:Keck, J.; et al. (Boehringer Ingelheim GmbH)
来源:ES 340219; FR 1522709; GB 1178034; US 3536713
合成路线图解说明:

By condensation of trans-4-aminocyclohexanol (I) with isatoic anhydride (II) in hot (100 C) xylene to give 2-amino-N-(trans-4-hydroxycyclohexyl)benzamide (III) , m.p. 219.5-220 C, which is reduced with LiAlH4 in THF to (trans-4-hydroxycyclohexyl)(2-aminobenzyl)amine (IV) (oxalate, m.p. 185-6 C); this product is finally brominated with Br2 in acetic acid.

参考文献No.701529
标题:
作者:Kech, J.
来源:Liebigs Ann Chem 1967,707(19, Suppl. 2),107
合成路线图解说明:

By condensation of trans-4-aminocyclohexanol (I) with isatoic anhydride (II) in hot (100 C) xylene to give 2-amino-N-(trans-4-hydroxycyclohexyl)benzamide (III) , m.p. 219.5-220 C, which is reduced with LiAlH4 in THF to (trans-4-hydroxycyclohexyl)(2-aminobenzyl)amine (IV) (oxalate, m.p. 185-6 C); this product is finally brominated with Br2 in acetic acid.

参考文献No.800715
标题:Ambroxol
作者:Casta馿r, J.; Armstrong, B.
来源:Drugs Fut 1976,1(3),959
合成路线图解说明:

By condensation of trans-4-aminocyclohexanol (I) with isatoic anhydride (II) in hot (100 C) xylene to give 2-amino-N-(trans-4-hydroxycyclohexyl)benzamide (III) , m.p. 219.5-220 C, which is reduced with LiAlH4 in THF to (trans-4-hydroxycyclohexyl)(2-aminobenzyl)amine (IV) (oxalate, m.p. 185-6 C); this product is finally brominated with Br2 in acetic acid.

合成路线图解说明:

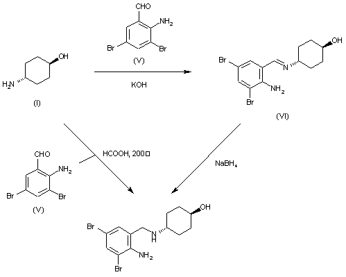
By condensation of trans-4-aminocyclohexanol (I) with 2-amino-3,5-dibromo-benzaldehyde (V) by means of formic acid at 200 C. When the condensation of the aminoalcohol (I) and the aldehyde (V) is performed with KOH in ethanol, the intermediate N-(2-amino-3,5-dibromobenzylidene)-trans-4-aminocyclohexanol (VI), m.p. 124.0-5.5 C is obtained, which is then reduced with NaBH4 in ethanol.

参考文献No.800718
标题:Neues Verfahren zur Herstellung von N-(trans-4-Hydroxycyclohexyl)-(2-amino-3,5-dibromobenzyl)amin
作者:Keck, J.; et al.
来源:DE 2218647; ES 413827; ES 421120; JP 49014443
合成路线图解说明:

By condensation of trans-4-aminocyclohexanol (I) with 2-amino-3,5-dibromo-benzaldehyde (V) by means of formic acid at 200 C. When the condensation of the aminoalcohol (I) and the aldehyde (V) is performed with KOH in ethanol, the intermediate N-(2-amino-3,5-dibromobenzylidene)-trans-4-aminocyclohexanol (VI), m.p. 124.0-5.5 C is obtained, which is then reduced with NaBH4 in ethanol.

参考文献No.800719
标题:Neues Verfahren zur Herstellung von 2-Aminobenzylaminen
作者:Keck, J.; et al.
来源:DE 2223193; ES 414671; JP 49048624; JP 53116339; JP 53149944
合成路线图解说明:

By condensation of trans-4-aminocyclohexanol (I) with 2-amino-3,5-dibromo-benzaldehyde (V) by means of formic acid at 200 C. When the condensation of the aminoalcohol (I) and the aldehyde (V) is performed with KOH in ethanol, the intermediate N-(2-amino-3,5-dibromobenzylidene)-trans-4-aminocyclohexanol (VI), m.p. 124.0-5.5 C is obtained, which is then reduced with NaBH4 in ethanol.

Drug Information Express,Drug R&D,Chemical Database,Patent Search.
Copyright © 2006-2026 Drug Future. All rights reserved.Contact Us