【药物名称】Butenafine hydrochloride, 501 cream(combination with betamethasone dipropionate), KP-363, Volley, Mentax
化学结构式(Chemical Structure):
参考文献No.6223
标题:Benzylamine derivatives, process for production thereof, and use thereof
作者:Arai, K.; Arita, M.; Sedino, T.; Komoto, N.; Hirose, S. (Mitsui Toatsu Chem.; Inc.)
来源:EP 0221781
合成路线图解说明:

By condensation of N-methyl-1-naphthylmethylamine (I) with 4-(tert-butyl)benzyl bromide (II) by means of Na2CO3 in DMF, followed by acidification with HCl in ethanol.

参考文献No.42743
标题:Amine derivs. and fungicides containing the same
作者:Maeda, T.; Koshikawa, S.; Yamamoto, T.; Sasaki, K.; Yokoo, M.; Amemiya, K.; Hashimoto, R.; Arika, T.; Takase, M. (Kaken Pharmaceutical Co., Ltd.)
来源:US 5021458
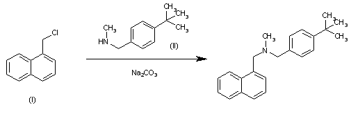
合成路线图解说明:

By condensation of 1-(chloromethyl)naphthalene (I) with N-(4-tert-butylbenzyl)-N-methylamine (II) by means of sodium carbonate in hot DMF.

参考文献No.85088
标题:KP-363
作者:Prous, J.; Casta馿r, J.
来源:Drugs Fut 1989,14(4),315
合成路线图解说明:

By condensation of N-methyl-1-naphthylmethylamine (I) with 4-(tert-butyl)benzyl bromide (II) by means of Na2CO3 in DMF, followed by acidification with HCl in ethanol.

Drug Information Express,Drug R&D,Chemical Database,Patent Search.
Copyright © 2006-2026 Drug Future. All rights reserved.Contact Us