【药物名称】Gevotroline hydrochloride, Wy-47384
化学结构式(Chemical Structure):
参考文献No.63542
标题:WY-47384
作者:Andree, T.; Abou-Gharbia, M.
来源:Drugs Fut 1988,13(6),541
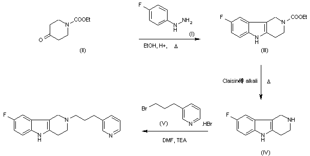
合成路线图解说明:

The reaction of 4-fluorophenylhydrazine hydrochloride (I) with N-carbethoxy-4-piperidone (II) under Fisher's conditions affords N2-carbethoxy-8-fluoro-2,3,4,5-tetrahydro-1H-pyridol[4,3-b]indole (III). Treatment of (III) with Claisen's alkali affords the N-2 unsubstituted 8-fluoro-2,3,4,5-tetrahydro-1H-pyrido[4,3-b]indole (IV), which is finally condensed with 3-pyridinylpropyl bromide hydrobromide (V) in DMF in the presence of triethyl amine (TEA). Compound (V) is obtained by refluxing 3-pyridinylpropanol with 48% hydrobromic acid.

参考文献No.547106
标题:Antipsychotic activity of substituted gamma-carbol
作者:Abou-Gharbia, M.; Patel, U.R.; Webb, M.B.; Moyer, J.A.; Andree, T.H.; Muth, E.A.
来源:J Med Chem 1987,301818
合成路线图解说明:

The reaction of 4-fluorophenylhydrazine hydrochloride (I) with N-carbethoxy-4-piperidone (II) under Fisher's conditions affords N2-carbethoxy-8-fluoro-2,3,4,5-tetrahydro-1H-pyridol[4,3-b]indole (III). Treatment of (III) with Claisen's alkali affords the N-2 unsubstituted 8-fluoro-2,3,4,5-tetrahydro-1H-pyrido[4,3-b]indole (IV), which is finally condensed with 3-pyridinylpropyl bromide hydrobromide (V) in DMF in the presence of triethyl amine (TEA). Compound (V) is obtained by refluxing 3-pyridinylpropanol with 48% hydrobromic acid.

Drug Information Express,Drug R&D,Chemical Database,Patent Search.
Copyright © 2006-2026 Drug Future. All rights reserved.Contact Us