【药物名称】Pirodomast, Sch-37224
化学结构式(Chemical Structure):
参考文献No.5830
标题:Zwitterionic 1,8-naphthyridine and pyrazino[2,3-b]pyridine containing compounds useful as anti-allergic, anti-inflammatory and cytoprotective agents
作者:Blythin, D.J.; Shue, H. (Schering Corp.)
来源:EP 0232328; JP 1988500453; US 4684727; WO 8700752
合成路线图解说明:

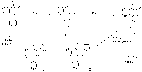
The first synthesis of Sch 37224 began with methyl or ethyl 2-phenylamino-3-pyridine carboxylate (IIa or b). Either one was condensed with tert-butyl acetate in the presence of a base such as potassium tert-butoxide to form the 1,8-naphthyridinone ring system (III). Bromination of (III), or preferably of its sodium or potassium salt, led to the 3-bromonaphthyridinone (IV). Displacement of the bromine by amines in hot DMF then led to a series of zwitterionic naphthyridinones, including Sch 37224 (I). The resulting crude product was purified by chromatography on silica gel using 2,2,2-trifluoroethanol as eluant, or by recrystallization from mixtures of trifluoroethanol/methanol or trifluoroethanol/water. The above synthesis was well suited for the preparation of analogues of Sch 37224. However, a scale-up of the above method to prepare multikilogram quantities of (I) needed for extended studies revealed the following drawbacks: (i) The yields for the conversion of (III) to (IV) and for (IV) to (I) were moderate. (ii) Displacement of the bromine in (IV) with pyrrolidine was inconsistent, and required refluxing of the reaction mixture for a prolonged period of time. This resulted in formation of the structurally similar impurity (V) in varying amounts (5). The removal of (V) from (I) was difficult and, after repeated crystallizations, (I) free of (V) could not be obtained. (iii) Refluxing DMF and pyrrolidine formed many volatile products, which needed containment for the large-scale synthesis.

参考文献No.16823
标题:Neuromuscular blocking agents
作者:Hill, D.A.; Turner, G.L. (Glaxo Wellcome plc)
来源:CH 683427; EP 0539470; FR 2665791; GB 2260763; JP 1993508648; JP 1998139763; US 5453510; WO 9200965
合成路线图解说明:

The first synthesis of Sch 37224 began with methyl or ethyl 2-phenylamino-3-pyridine carboxylate (IIa or b). Either one was condensed with tert-butyl acetate in the presence of a base such as potassium tert-butoxide to form the 1,8-naphthyridinone ring system (III). Bromination of (III), or preferably of its sodium or potassium salt, led to the 3-bromonaphthyridinone (IV). Displacement of the bromine by amines in hot DMF then led to a series of zwitterionic naphthyridinones, including Sch 37224 (I). The resulting crude product was purified by chromatography on silica gel using 2,2,2-trifluoroethanol as eluant, or by recrystallization from mixtures of trifluoroethanol/methanol or trifluoroethanol/water. The above synthesis was well suited for the preparation of analogues of Sch 37224. However, a scale-up of the above method to prepare multikilogram quantities of (I) needed for extended studies revealed the following drawbacks: (i) The yields for the conversion of (III) to (IV) and for (IV) to (I) were moderate. (ii) Displacement of the bromine in (IV) with pyrrolidine was inconsistent, and required refluxing of the reaction mixture for a prolonged period of time. This resulted in formation of the structurally similar impurity (V) in varying amounts (5). The removal of (V) from (I) was difficult and, after repeated crystallizations, (I) free of (V) could not be obtained. (iii) Refluxing DMF and pyrrolidine formed many volatile products, which needed containment for the large-scale synthesis.

合成路线图解说明:

The optical resolution of (?-tetrahydropapaverine (I) with N-acetyl-L-leucine yields (R)-tetrahydropapaverine (II), which is condensed with 1,5-pentamethylene diacrylate (III) (obtained by esterification of 1,5-pentanediol (IV) with 3-bromopropionic acid by means of p-toluenesulfonic acid followed by dehydromination with triethylamine) in hot glacial acetic acid and treated with oxalic acid to afford the bis-tetrahydropapaverine derivative (VI). Finally, this compound is treated with aqueous Na2CO3 to eliminate the oxalic acid and then treated with methyl benezenesulfonate (VII) at room temperature. The resulting product is a 58:34:6 mixture of the (1R-cis, 1'R-cis)- (1R-cis, 1'R-trans)- and (1R-trans, 1'R-trans)-isomers, which is resolved by column chromatography over silica gel using an 80:20:5 mixture of dichloromethane methanol and methanesulfonic acid.

参考文献No.153920
标题:A short synthesis and its application to the preparation of radiolabelled leukotriene inhibitor Sch 37224
作者:Gala, D.; Duelfer, T.
来源:J Label Compd Radiopharm 1991,29(6),651-6
合成路线图解说明:

The preparation of radiolabeled (I), needed for biological and pharmacological studies, was accomplished by yet another synthesis. Here, the high yielding synthesis of (IIa) was utilized to prepare labeled (IIa) from chloronicotinic acid and U-14C aniline. This was then condensed with (VIII) to produce radiolabeled (I). This process minimized the handling and workup of radiolabeled materials. The mechanistic aspects for the development of this synthesis have been described recently.

参考文献No.155165
标题:An efficient synthesis of 1,8-napthyridin-2(1H)-ones: Synthesis of leukotriene inhibitor Sch 37224
作者:Nyce, P.L.; Steinman, M.; Gala, D.
来源:Synthesis 1991,(7),571-4
合成路线图解说明:

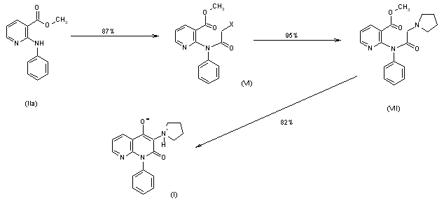
To overcome problems for the previous synthesis, a more efficient, economical and environmentally sound process for the preparation of Sch 37224 was needed. Research toward this goal led to the new synthesis of (I). Salient features of this synthesis are summarized below. Since N-acylation of (II) is reported to be very difficult, a novel, mild, high yielding N-acylation procedure, utilizing propylene oxide as a neutral, irreversible acid scavenger during the N-acylation step, was developed for the conversion of (II) to (VI). The displacement of chlorine from (VI) led to (VII), which proved to be moderately unstable. Hence, mild conditions were developed for an efficient conversion of crude (VII) to (I). The merits of this synthesis are discussed in the literature. This synthesis was used successfully to prepare tens of kilos of (I).

参考文献No.158316
标题:Pirodomast < Prop INN >
作者:Blythin, D.J.; Gala, D.
来源:Drugs Fut 1991,16(12),1099
合成路线图解说明:

The first synthesis of Sch 37224 began with methyl or ethyl 2-phenylamino-3-pyridine carboxylate (IIa or b). Either one was condensed with tert-butyl acetate in the presence of a base such as potassium tert-butoxide to form the 1,8-naphthyridinone ring system (III). Bromination of (III), or preferably of its sodium or potassium salt, led to the 3-bromonaphthyridinone (IV). Displacement of the bromine by amines in hot DMF then led to a series of zwitterionic naphthyridinones, including Sch 37224 (I). The resulting crude product was purified by chromatography on silica gel using 2,2,2-trifluoroethanol as eluant, or by recrystallization from mixtures of trifluoroethanol/methanol or trifluoroethanol/water. The above synthesis was well suited for the preparation of analogues of Sch 37224. However, a scale-up of the above method to prepare multikilogram quantities of (I) needed for extended studies revealed the following drawbacks: (i) The yields for the conversion of (III) to (IV) and for (IV) to (I) were moderate. (ii) Displacement of the bromine in (IV) with pyrrolidine was inconsistent, and required refluxing of the reaction mixture for a prolonged period of time. This resulted in formation of the structurally similar impurity (V) in varying amounts (5). The removal of (V) from (I) was difficult and, after repeated crystallizations, (I) free of (V) could not be obtained. (iii) Refluxing DMF and pyrrolidine formed many volatile products, which needed containment for the large-scale synthesis.

合成路线图解说明:

To overcome problems for the previous synthesis, a more efficient, economical and environmentally sound process for the preparation of Sch 37224 was needed. Research toward this goal led to the new synthesis of (I). Salient features of this synthesis are summarized below. Since N-acylation of (II) is reported to be very difficult, a novel, mild, high yielding N-acylation procedure, utilizing propylene oxide as a neutral, irreversible acid scavenger during the N-acylation step, was developed for the conversion of (II) to (VI). The displacement of chlorine from (VI) led to (VII), which proved to be moderately unstable. Hence, mild conditions were developed for an efficient conversion of crude (VII) to (I). The merits of this synthesis are discussed in the literature. This synthesis was used successfully to prepare tens of kilos of (I).

合成路线图解说明:

The preparation of radiolabeled (I), needed for biological and pharmacological studies, was accomplished by yet another synthesis. Here, the high yielding synthesis of (IIa) was utilized to prepare labeled (IIa) from chloronicotinic acid and U-14C aniline. This was then condensed with (VIII) to produce radiolabeled (I). This process minimized the handling and workup of radiolabeled materials. The mechanistic aspects for the development of this synthesis have been described recently.

参考文献No.161325
标题:Anti-allergy agents. 2. Zwitterionic 1,8-naphthyridin-2(1H)-ones. Potent, orally active inhibitors of the release of leukotrienes and other bronchospastic agents
作者:Shue, H.-J.; Spitler, J.M.; Carlon, F.E.; Kreutner, W.; Sherwood, J.; Bythin, D.J.; Rizzo, C.
来源:Med Chem Res 1991,1(2),151-4
合成路线图解说明:

The first synthesis of Sch 37224 began with methyl or ethyl 2-phenylamino-3-pyridine carboxylate (IIa or b). Either one was condensed with tert-butyl acetate in the presence of a base such as potassium tert-butoxide to form the 1,8-naphthyridinone ring system (III). Bromination of (III), or preferably of its sodium or potassium salt, led to the 3-bromonaphthyridinone (IV). Displacement of the bromine by amines in hot DMF then led to a series of zwitterionic naphthyridinones, including Sch 37224 (I). The resulting crude product was purified by chromatography on silica gel using 2,2,2-trifluoroethanol as eluant, or by recrystallization from mixtures of trifluoroethanol/methanol or trifluoroethanol/water. The above synthesis was well suited for the preparation of analogues of Sch 37224. However, a scale-up of the above method to prepare multikilogram quantities of (I) needed for extended studies revealed the following drawbacks: (i) The yields for the conversion of (III) to (IV) and for (IV) to (I) were moderate. (ii) Displacement of the bromine in (IV) with pyrrolidine was inconsistent, and required refluxing of the reaction mixture for a prolonged period of time. This resulted in formation of the structurally similar impurity (V) in varying amounts (5). The removal of (V) from (I) was difficult and, after repeated crystallizations, (I) free of (V) could not be obtained. (iii) Refluxing DMF and pyrrolidine formed many volatile products, which needed containment for the large-scale synthesis.

参考文献No.802970
标题:Phosphorus pentoxide in organic synthesis, III. New synthesis of pyrido[2,3-d]pyrimidin-4(3H)-ones
作者:Andresen, O.R.; Pedersen, E.B.
来源:Liebigs Ann Chem 1982,1012
合成路线图解说明:

To overcome problems for the previous synthesis, a more efficient, economical and environmentally sound process for the preparation of Sch 37224 was needed. Research toward this goal led to the new synthesis of (I). Salient features of this synthesis are summarized below. Since N-acylation of (II) is reported to be very difficult, a novel, mild, high yielding N-acylation procedure, utilizing propylene oxide as a neutral, irreversible acid scavenger during the N-acylation step, was developed for the conversion of (II) to (VI). The displacement of chlorine from (VI) led to (VII), which proved to be moderately unstable. Hence, mild conditions were developed for an efficient conversion of crude (VII) to (I). The merits of this synthesis are discussed in the literature. This synthesis was used successfully to prepare tens of kilos of (I).

参考文献No.900025
标题:Naphthyridine derivatives
作者:Kanji, N.; Nakagawa, A.; Miyata, S.; Ide, H. (Hisamitsu Pharmaceutical Co., Ltd.)
来源:JP 77116495
合成路线图解说明:

The first synthesis of Sch 37224 began with methyl or ethyl 2-phenylamino-3-pyridine carboxylate (IIa or b). Either one was condensed with tert-butyl acetate in the presence of a base such as potassium tert-butoxide to form the 1,8-naphthyridinone ring system (III). Bromination of (III), or preferably of its sodium or potassium salt, led to the 3-bromonaphthyridinone (IV). Displacement of the bromine by amines in hot DMF then led to a series of zwitterionic naphthyridinones, including Sch 37224 (I). The resulting crude product was purified by chromatography on silica gel using 2,2,2-trifluoroethanol as eluant, or by recrystallization from mixtures of trifluoroethanol/methanol or trifluoroethanol/water. The above synthesis was well suited for the preparation of analogues of Sch 37224. However, a scale-up of the above method to prepare multikilogram quantities of (I) needed for extended studies revealed the following drawbacks: (i) The yields for the conversion of (III) to (IV) and for (IV) to (I) were moderate. (ii) Displacement of the bromine in (IV) with pyrrolidine was inconsistent, and required refluxing of the reaction mixture for a prolonged period of time. This resulted in formation of the structurally similar impurity (V) in varying amounts (5). The removal of (V) from (I) was difficult and, after repeated crystallizations, (I) free of (V) could not be obtained. (iii) Refluxing DMF and pyrrolidine formed many volatile products, which needed containment for the large-scale synthesis.

Drug Information Express,Drug R&D,Chemical Database,Patent Search.
Copyright © 2006-2026 Drug Future. All rights reserved.Contact Us