【药物名称】Devazepide, MK-329, L-364718, Devacade
化学结构式(Chemical Structure):
参考文献No.103409
标题:MK-329
作者:Freidinger, R.M.; Berlin, R.G.
来源:Drugs Fut 1989,14(9),862
合成路线图解说明:

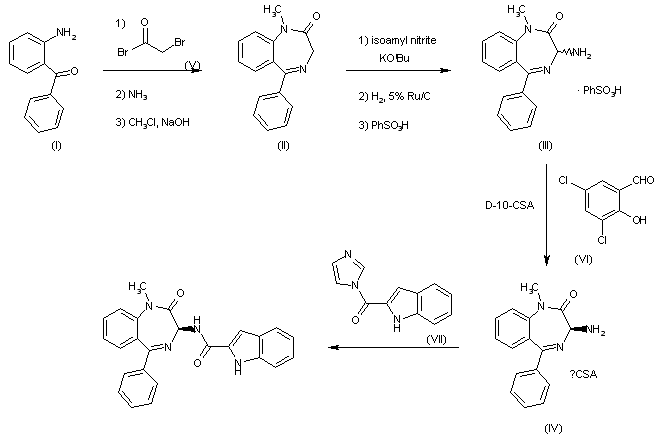
2-Aminobenzophenone (I) is acylated with bromoacetyl bromide followed by reaction with ammonia to form the [1,4]benzodiazepine. N1-Methylation produces 1,3-dihydro-1-methyl-5-phenyl-2H-[1,4]benzodiazepin-2-one (II). Treatment with isoamyl nitrate and t-BuOK gives an oxime, which is reduced by catalytic hydrogenation to racemic 3-amino-benzodiazepine (III), which is isolated as the crystalline benzenesulfonic acid salt. Crystallization-induced asymmetric transformation yields 3(S)-(-)-3-amino-1,3-dihydro-1-methyl-5-phenyl-2H-[1,4]benzodiazepin-2-one (IV). Acylation with indole-2-carbonylimidazolide produces MK-329.

参考文献No.108015
标题:Synthesis and resolution of 3-amino-1,3-dihydro-5-phenyl-2H-1,4-benzodiazepin-2-ones
作者:Veber, D.F.; Freidinger, R.M.; Hirshfield, J.; Rittle, K.E.; Springer, J.P.; DiPardo, R.M.; Bock, M.G.; Evans, B.E.
来源:J Org Chem 1987,523232
合成路线图解说明:

2-Aminobenzophenone (I) is acylated with bromoacetyl bromide followed by reaction with ammonia to form the [1,4]benzodiazepine. N1-Methylation produces 1,3-dihydro-1-methyl-5-phenyl-2H-[1,4]benzodiazepin-2-one (II). Treatment with isoamyl nitrate and t-BuOK gives an oxime, which is reduced by catalytic hydrogenation to racemic 3-amino-benzodiazepine (III), which is isolated as the crystalline benzenesulfonic acid salt. Crystallization-induced asymmetric transformation yields 3(S)-(-)-3-amino-1,3-dihydro-1-methyl-5-phenyl-2H-[1,4]benzodiazepin-2-one (IV). Acylation with indole-2-carbonylimidazolide produces MK-329.

参考文献No.800127
标题:Crystallization-induced asymmetric transformation: Stereospecific synthesis of a potent peripheral CCK antagonis
作者:Reider, P.J.; Davis, P.; Grabowski, E.J.J.; Hughes, D.L.
来源:J Org Chem 1987,52955
合成路线图解说明:

2-Aminobenzophenone (I) is acylated with bromoacetyl bromide followed by reaction with ammonia to form the [1,4]benzodiazepine. N1-Methylation produces 1,3-dihydro-1-methyl-5-phenyl-2H-[1,4]benzodiazepin-2-one (II). Treatment with isoamyl nitrate and t-BuOK gives an oxime, which is reduced by catalytic hydrogenation to racemic 3-amino-benzodiazepine (III), which is isolated as the crystalline benzenesulfonic acid salt. Crystallization-induced asymmetric transformation yields 3(S)-(-)-3-amino-1,3-dihydro-1-methyl-5-phenyl-2H-[1,4]benzodiazepin-2-one (IV). Acylation with indole-2-carbonylimidazolide produces MK-329.

Drug Information Express,Drug R&D,Chemical Database,Patent Search.
Copyright © 2006-2026 Drug Future. All rights reserved.Contact Us