【药物名称】Zenarestat, CI-1014, FR-74366, FK-366
化学结构式(Chemical Structure):
参考文献No.6128
标题:New quinazoline derivs., process for their production and pharmaceutical compsns. comprising them
作者:Hashimoto, M.; Oku, T.; Ito, Y.; Namiki, T.; Sawada, K.; Kasahara, C.; Baba, Y. (Fujisawa Pharmaceutical Co., Ltd.)
来源:EP 0218999; JP 1987096476; JP 1989125322; JP 1989131164; US 4734419; US 4883800
合成路线图解说明:

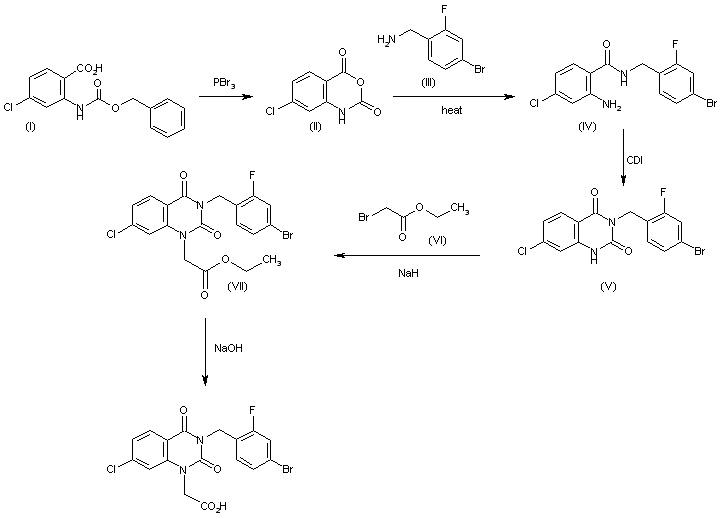
1) The cyclization of 2-(benzyloxycarbonylamino)-4-chlorobenzoic acid (I) by means of PBr3 in refluxing ethyl ether gives 7-chloro-2H-3,1-benzoxazine-2,4(1H)-dione (II), which is condensed with 4-bromo-2-fluorobenzylamine (III) in refluxing THF yielding 2-amino-N-(4-bromo-2-fluorobenzyl)-4-chloro-benzamide (IV). The cyclization of (IV) with carbonyldiimidazole (CDI) in refluxing dioxane affords 3-(4-bromo-2-fluorobenzyl)-7-chloro-1,2,3,4-tetrahydroquinazoline-2,4-dione (V), which is alkylated with ethyl bromoacetate (VI) by means of NaH in DMF to give ethyl 3-(4-bromo-2-fluorobenzyl)-7-chloro-2,4-dioxo-1,2,3,4-tetrahydroquinazoline-1-acetate (VII). Finally, this compound is hydrolyzed with NaOH in refluxing methanol.

合成路线图解说明:

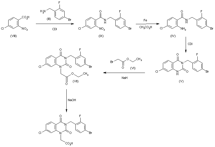
2) The condensation of 4-chloro-2-nitrobenzoic acid (VIII) with benzylamine (III) by means of CDI in THF gives the corresponding amide (IX), which is reduced with Fe in acetic acid to the 2-aminobenzamide (IV). The cyclization of (IV) with carbonyldiimidazole (CDI) in refluxing dioxane affords 3-(4-bromo-2-fluorobenzyl)-7-chloro-1,2,3,4-tetrahydroquinazoline-2,4-dione (V), which is alkylated with ethyl bromoacetate (VI) by means of NaH in DMF to give ethyl 3-(4-bromo-2-fluorobenzyl)-7-chloro-2,4-dioxo-1,2,3,4-tetrahydroquinazoline-1-acetate (VII). Finally, this compound is hydrolyzed with NaOH in refluxing methanol.

合成路线图解说明:

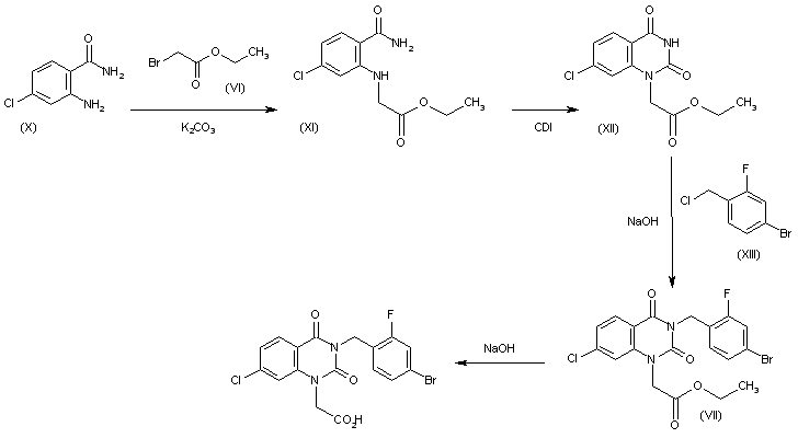
3) The alkylation of 2-amino-4-chlorobenzamide (X) with ethyl bromoacetate (VI) by means of K2CO3 in hot DMF gives ethyl 2-(2-carbamoyl-4-chlorophenylamino)acetate (XI), which is cyclized with CDI at 150 C yielding ethyl 7-chloro-2,4-dioxo-1,2,3,4-tetrahydroquinazoline-1-acetate (XII). Finally, this compound is alkylated with 4-bromo-2-fluorobenzyl chloride (XIII) by means of NaH in DMF to afford quinazoline (VII) already obtained.

参考文献No.73546
标题:FR-74366
作者:Prous, J.; Casta馿r, J.
来源:Drugs Fut 1989,14(1),26
合成路线图解说明:

1) The cyclization of 2-(benzyloxycarbonylamino)-4-chlorobenzoic acid (I) by means of PBr3 in refluxing ethyl ether gives 7-chloro-2H-3,1-benzoxazine-2,4(1H)-dione (II), which is condensed with 4-bromo-2-fluorobenzylamine (III) in refluxing THF yielding 2-amino-N-(4-bromo-2-fluorobenzyl)-4-chloro-benzamide (IV). The cyclization of (IV) with carbonyldiimidazole (CDI) in refluxing dioxane affords 3-(4-bromo-2-fluorobenzyl)-7-chloro-1,2,3,4-tetrahydroquinazoline-2,4-dione (V), which is alkylated with ethyl bromoacetate (VI) by means of NaH in DMF to give ethyl 3-(4-bromo-2-fluorobenzyl)-7-chloro-2,4-dioxo-1,2,3,4-tetrahydroquinazoline-1-acetate (VII). Finally, this compound is hydrolyzed with NaOH in refluxing methanol.

合成路线图解说明:

2) The condensation of 4-chloro-2-nitrobenzoic acid (VIII) with benzylamine (III) by means of CDI in THF gives the corresponding amide (IX), which is reduced with Fe in acetic acid to the 2-aminobenzamide (IV). The cyclization of (IV) with carbonyldiimidazole (CDI) in refluxing dioxane affords 3-(4-bromo-2-fluorobenzyl)-7-chloro-1,2,3,4-tetrahydroquinazoline-2,4-dione (V), which is alkylated with ethyl bromoacetate (VI) by means of NaH in DMF to give ethyl 3-(4-bromo-2-fluorobenzyl)-7-chloro-2,4-dioxo-1,2,3,4-tetrahydroquinazoline-1-acetate (VII). Finally, this compound is hydrolyzed with NaOH in refluxing methanol.

合成路线图解说明:

3) The alkylation of 2-amino-4-chlorobenzamide (X) with ethyl bromoacetate (VI) by means of K2CO3 in hot DMF gives ethyl 2-(2-carbamoyl-4-chlorophenylamino)acetate (XI), which is cyclized with CDI at 150 C yielding ethyl 7-chloro-2,4-dioxo-1,2,3,4-tetrahydroquinazoline-1-acetate (XII). Finally, this compound is alkylated with 4-bromo-2-fluorobenzyl chloride (XIII) by means of NaH in DMF to afford quinazoline (VII) already obtained.

Drug Information Express,Drug R&D,Chemical Database,Patent Search.
Copyright © 2006-2026 Drug Future. All rights reserved.Contact Us