【药物名称】Dideoxyadenosine, NSC-98700, ddA
化学结构式(Chemical Structure):
参考文献No.57436
标题:2',3'-Dideoxyadenosine
作者:Casta馿r, J.; Hopkins, S.J.; Serradell, M.N.; Blancafort, P.
来源:Drugs Fut 1982,7(4),244
合成路线图解说明:

The elimination reaction of (III) with sodium ethoxide in DMF gives 2',3'-dideoxy-2',3'-didehydroadenosine (V), which is hydrogenated with H2 over Pd/C in ethanol.

合成路线图解说明:

The reaction of 5'-triphenylmethyl-2'-deoxyadenosine (I) with p-toluenesulfonyl chloride in pyridine gives 5'-triphenylmethyl-3'-(p-toluenesulfonyl)-2'-deoxyadenosine (II), which by partial hydrolysis with acetic acid yields 3'-p-toluenesulfonyl)-2'-deoxyadenosine (III). The reaction of (III) with ethylmercaptane (A) by means of sodium ethoxide affords 3'-ethylthio-2',3'-dideoxyadenosine (IV), which is finally desulfurized by treatment with Raney-Ni in refluxing methyl cellosolve - ethanol (100 C).

合成路线图解说明:

The reaction of 2',3'-dideoxy-2'chloro-3'-ethylthioadenosine (VI) with potassium thiocyanate gives 2',3'-dideoxy-2'-thiocyanato-3'-ethylthioadenosine (VII), which by treatment with Ni sponge in DMF at 100 C under H2 atmosphere is converted into compound (IV), which is finally treated with Raney-Ni in refluxing methyl cellosolve-ethanol (100 C).

合成路线图解说明:

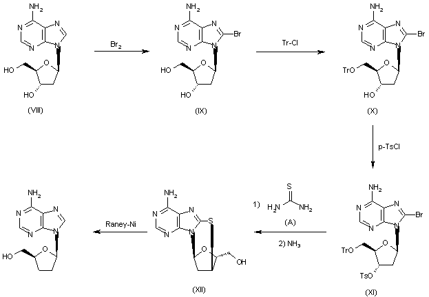
The bromination of 2'-deoxyadenosine (VIII) with Br2 in dioxane - water by means of CaCO3 or sodium acetate gives 8-bromo-2'-deoxyadenosine (IX), which by reaction with triphenylmethyl chloride in pyridine - DMF is converted into 8-bromo-2'-deoxy-5'-O-triphenylmethyladenosine (X). The reaction of (X) with p-toluenesulfonyl chloride in pyridine affords 8-bromo-5'-O-triphenylmethyl-3'-O-(p-toluenesulfonyl)-2'-deoxyadenosine (XI), which by reaction with thiourea (A) in refluxing butanol and treatment with propanol-ammonia-water is converted into 2',3'-dideoxy-8-mercapto-8,3'-anhydroadenosine (XII). Finally, this compound is desulfurized by treatment with Raney-Ni in refluxing water.

合成路线图解说明:

The reaction of adenosine (XIII) with 2-acetoxyisobutyryl bromide (XIV) in acetonitrile gives 3'-deoxy-3'-bromo-2'-O-acetyl-5'-(2,5,5-trimethyl-1,3-dioxolan-4-on-2-yl)adenosine (XV), which is submitted to hydrogenolysis with H2 over Pd/C in methanol containing triethylamine.

参考文献No.100484
标题:The synthesis of 2',3'-dideoxyadenosine and 2',3'-dideoxyinosine
作者:Shiragami, H.; Shirae, H.; Irie, Y.; Yokozeki, K.; Yasuda, N.
来源:Nucl Acid Res Symp Ser 1988,20(20),17-18
合成路线图解说明:

A new synthesis of 2',3'-dideoxyadenosine has been described: The reaction of uridine (I) with methyl orthoformate and p-toluenesulfonic acid gives the cyclic orthoester (II), which is acetylated with acetic anhydride at 100 C to the acetate (III). The reaction of (III) with acetic anhydride at temperatures over 120 C yields 5'-O-acetyl-2',3'-dideoxy-2',3'-didehydrouridine (IV), which is hydrogenated to 5'-O-acetyl-2',3'-dideoxyuridine (V).

合成路线图解说明:

The hydrolysis of (V) affords 2',3'-dideoxyuridine (VI), which is finally submitted to transdeoxyribosilation with adenine (VII) by means of Escherichia coli AJ-2595 microorganisms.

合成路线图解说明:

2) The reaction of uridine (I) with methyl orthoformate and p-toluenesulfonic acid gives the cyclic orthoester (II), which is acetylated with acetic anhydride at 100 C, yielding the 5'-acetoxy derivative (III). The reaction of (III) with acetic anhydride at temperatures over 120 C affords 5'-O-acetyl-2',3'-dideoxy-2',3'-didehydrouridine (IV), which is hydrogenated to 5'-O-acetyl-2',3'-dideoxyuridine (V). Hydrolysis of (V) affords 2',3'-dideoxyuridine (VI), which is finally submitted to a transdideoxyribosylation with hypoxanthine (VII) by incubation in an appropriate medium with Escherichia coli AJ 2595 resting cells.

参考文献No.100485
标题:General syntheses of 2',3'-dideoxynucleosides and 2',3'-didehydro-2',3'-dideoxynucleosides
作者:Chu, C.K.; Bhadti, V.S.; Doboszewski, B.; Gu, Z.P.; Kosugi, Y.; Pullaiah, K.C.; Van Roey, P.
来源:J Org Chem 1989,542217-25
合成路线图解说明:

This compound is prepared by two related ways: 1) The partial silylation of adenosine (I) with tert-butyldimethylsilyl chloride and imidazole gives 5'-O-(tert-butyldimethylsilyl)adenosine (II), which by reaction with 1,1'-thiocarbonyldiimidazole (III) in hot DMF is converted into 5'-O-(tert-butyldimethylsilyl)-2',3'-O-thionocarbonyladenosine (IV). The desulfurization of (IV) with 1,3-dimethyl-2-phenyl-1,3,2-diazaphospholidine (V) or triethyl phosphite in THF yields 5'-O-(tert-butyldimethylsilyl)-2',3'-didehydro-2',3'-dideoxyadenosine (VI), which is deprotected with tetrabutylammonium fluoride in THF affording 2',3'-didehydro-2',3'-dideoxyadenosine (VII). Finally, this compound is hydrogenated with H2 over Pd/C in methanol. 2) The reaction of silylated adenosine (II) with CS2 and NaOH in DMSO, followed by methylation with methyl iodide gives 5'-O-(tert-butyldimethylsilyl)-2',3'-bis-O-[(methylthio)thiocarbonyl]ad enosine (VIII), which is desulfurized with tributyltin hydride and AIBN in refluxing toluene to yield the dideoxy-didehydroadenosine (VI), already obtained.

合成路线图解说明:

3) The reaction of inosine (I) with tert-butyldimethylsilyl chloride by means of imidazole in DMF gives the 5'-O-silyl derivative (II), which by reaction with CS2 and 3-bromopropionitrile by means of NaOH in DMSO is converted into 5'-O-(tert-butyldimethylsilyl)-2',3'-bis-O-(2-cyanoethyldithiocarbonyl)inosine (III). The reaction of (III) with tri-n-butyltin hydride and AIBN in refluxing toluene affords 5'-O-(tert-butyldimethylsilyl-2',3'-dideoxy-2',3'-didehydroinosine (IV), which is deprotected with tetrabutylammonium fluoride in THF to 2',3'-dideoxy-2',3'-didehydroinosine (V). Finally, this compound is hydrogenated with H2 over Pd/C in ethanol - water. 4) The reaction of (II) with 1,1'-thiocarbonyldiimidazole (DTI) in DMF gives 5'-O-(tert-butyldimethylsilyl)-2',3'-O-(thionocarbonyl)inosine (VI), which by reaction with refluxing triethyl phosphite is converted into the didehydro derivative (IV), already obtained (5).

参考文献No.100487
标题:2',3'-dideoxynucleosides for AIDS chemotherapy
作者:Farina, V.; Benigni, D.A.
来源:Tetrahedron Lett 1988,29(11),1239-42
合成路线图解说明:

A new synthesis of 2',3'-dideoxyadenosine has been described: The stereospecific deamination - lactonization of L-glutamic acid (I) with NaNO2 - HCl in water gives (S)-(+)-gamma-carboxy-gamma-butyrolactone (II), which is esterified with ethanol - p-toluenesulfonic acid to the ester (III). The selective reduction of (III) with NaBH4 in ethanol yields (S)-(+)-gamma-(hydroxymethyl)-gamma-butyrolactone (IV), which is benzoylated with benzoyl chloride as usual, affording the benzoate (V). The selective reduction of (V) with disiamyl borane in THF gives the alcohol (VI), which is acetylated with acetic anhydride in pyridine to the acetate (VII). The reaction of (VII) with trimethylsilyl bromide in dichloromethane yields the tetrahydrofuryl bromide (VIII), which is condensed with the silylated adenine (IX) to afford 5'-O-benzoyl-2',3'-dideoxyadenosine (X). Finally, this compound is deprotected with NH3 in methanol.

合成路线图解说明:

1) The stereospecific deamination - lactonization of L-glutamic acid (I) with NaNO2 - HCl in water gives (S)-(+)-gamma-carboxy-gamma-butyrolactone (II), which is esterified with ethanol and p-toluenesulfonic acid in the usual way, yielding the ethyl ester (III). The selective reduction of (III) with NaBH4 in ethanol affords (S)-(+)-gamma-(hydroxymethyl)-gamma-butyrolactone (IV), which is benzoylated with benzoyl chloride to the benzoate (V). The selective reduction of (V) with disiamyl borane in THF yields the alcohol (VI), which is acetylated with acetic anhydride in pyridine to the acetate (VII). The reaction of (VII) with trimethylsilyl bromide in dichloromethane affords the tetrahydrofuryl bromide (VIII), which is then condensed with the adenine (IX), giving 5'-O-benzoyl-2',3'-dideoxyadenosine (X). The deprotection of (X) with NH3 in methanol yields 2',3'-dideoxyadenosine, which is finally deaminated enzymatically with the enzyme adenosine deaminase.

参考文献No.604645
标题:Purine nucleosides. XII. The preparation of 2',3'-dideoxyadenosine, 2',5'dideoxyadenosine and 2',3',5'-trideoxyadenosine from 2'-deoxyadenosine
作者:Robins, M.J.; McCarthy, J.R. Jr.; Robins, R.K.
来源:Biochem J 1966,5(1),224-231
合成路线图解说明:

The reaction of 5'-triphenylmethyl-2'-deoxyadenosine (I) with p-toluenesulfonyl chloride in pyridine gives 5'-triphenylmethyl-3'-(p-toluenesulfonyl)-2'-deoxyadenosine (II), which by partial hydrolysis with acetic acid yields 3'-p-toluenesulfonyl)-2'-deoxyadenosine (III). The reaction of (III) with ethylmercaptane (A) by means of sodium ethoxide affords 3'-ethylthio-2',3'-dideoxyadenosine (IV), which is finally desulfurized by treatment with Raney-Ni in refluxing methyl cellosolve - ethanol (100 C).

参考文献No.800291
标题:Synthesis od 2',3'-dideoxynucleosides
作者:Samukov, V.V.; Ofitserov, V.I.
来源:Bioorg Khim 1983,9(1),52-59
合成路线图解说明:

A new method for the synthesis of title compound has been reported: The reaction of 5'-O-triphenylmethyl-2'-deoxyadenosine (I) with CS2, methyl iodide and NaH gives the corresponding xanthate (II), which is reduced with tributyl hydrogen stannide to 5'-O-triphenylmethyl-2',3'-dideoxyadenosine (III). Finally, this compound is deprotected in the usual way.

参考文献No.800395
标题:The synthesis of 2',3'-dideoxyadenosine from 2'-deoxyadenosine
作者:Robins, M.J.; et al.
来源:J Am Chem Soc 1964,86(17),3585-86
合成路线图解说明:

The reaction of 5'-triphenylmethyl-2'-deoxyadenosine (I) with p-toluenesulfonyl chloride in pyridine gives 5'-triphenylmethyl-3'-(p-toluenesulfonyl)-2'-deoxyadenosine (II), which by partial hydrolysis with acetic acid yields 3'-p-toluenesulfonyl)-2'-deoxyadenosine (III). The reaction of (III) with ethylmercaptane (A) by means of sodium ethoxide affords 3'-ethylthio-2',3'-dideoxyadenosine (IV), which is finally desulfurized by treatment with Raney-Ni in refluxing methyl cellosolve - ethanol (100 C).

参考文献No.800396
标题:Purine nucleosides. XIV. Unsaturated furanosyl adenine nucleosides prepared via base-catalysed elimination reactions of 2'-deoxyadenosine derivatives
作者:McCarthy, J.R.; et al.
来源:J Am Chem Soc 1966,88(7),1549-53
合成路线图解说明:

The elimination reaction of (III) with sodium ethoxide in DMF gives 2',3'-dideoxy-2',3'-didehydroadenosine (V), which is hydrogenated with H2 over Pd/C in ethanol.

参考文献No.800397
标题:An alternative synthesis of 2',3'-dideoxyadenosine
作者:Tong, L.; et al.
来源:J Org Chem 1965,30(8),2854-55
合成路线图解说明:

The reaction of 2',3'-dideoxy-2'chloro-3'-ethylthioadenosine (VI) with potassium thiocyanate gives 2',3'-dideoxy-2'-thiocyanato-3'-ethylthioadenosine (VII), which by treatment with Ni sponge in DMF at 100 C under H2 atmosphere is converted into compound (IV), which is finally treated with Raney-Ni in refluxing methyl cellosolve-ethanol (100 C).

参考文献No.800398
标题:Nucleosides and nucleotides. XLIV. Purine cyclonucleosides. 2. Synthesis of cyclonucleosides having 8,3'-O- and -S-anhydro linkage derived from 2'-deoxyadenosine
作者:Morio, I.; Masakatsu, K.
来源:Chem Pharm Bull 1970,18(12),2441-46
合成路线图解说明:

The bromination of 2'-deoxyadenosine (VIII) with Br2 in dioxane - water by means of CaCO3 or sodium acetate gives 8-bromo-2'-deoxyadenosine (IX), which by reaction with triphenylmethyl chloride in pyridine - DMF is converted into 8-bromo-2'-deoxy-5'-O-triphenylmethyladenosine (X). The reaction of (X) with p-toluenesulfonyl chloride in pyridine affords 8-bromo-5'-O-triphenylmethyl-3'-O-(p-toluenesulfonyl)-2'-deoxyadenosine (XI), which by reaction with thiourea (A) in refluxing butanol and treatment with propanol-ammonia-water is converted into 2',3'-dideoxy-8-mercapto-8,3'-anhydroadenosine (XII). Finally, this compound is desulfurized by treatment with Raney-Ni in refluxing water.

参考文献No.800399
标题:Reaction of 2-acyloxyisobutyryl halides with nucleosides. II. Reactions of adenosine
作者:Russell, A.F.; et al.
来源:J Am Chem Soc 1973,95(12),4025-30
合成路线图解说明:

The reaction of adenosine (XIII) with 2-acetoxyisobutyryl bromide (XIV) in acetonitrile gives 3'-deoxy-3'-bromo-2'-O-acetyl-5'-(2,5,5-trimethyl-1,3-dioxolan-4-on-2-yl)adenosine (XV), which is submitted to hydrogenolysis with H2 over Pd/C in methanol containing triethylamine.

Drug Information Express,Drug R&D,Chemical Database,Patent Search.
Copyright © 2006-2026 Drug Future. All rights reserved.Contact Us