【药物名称】Zaleplon, LJC-10846, L-846, CL-284846, Zerene, Sonata
化学结构式(Chemical Structure):
参考文献No.5676
标题:[7-(3-Disubstd. amino)phenyl]pyrazolo[1,5-a]pyrimidines
作者:Dusza, J.P.; Tomcufcik, A.S.; Albright, J.D. (American Cyanamid Co.)
来源:EP 0208846; JP 1986260083; JP 1995084468; US 4626538
合成路线图解说明:

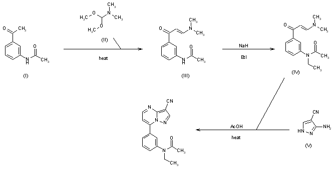
The condensation of N-(3-acetylphenyl)acetamide (I) with dimethylformamide dimethylacetal (II) at reflux temperature gives N-[3-[3-(dimethylamino)-2-propenoyl]phenyl]acetamide (III), which is alkylated with NaH and ethyl iodide to the corresponding N-ethyl derivative (IV). Finally, this compound is cyclized with 3-aminopyrazole-4-carbonitrile (V) in refluxing acetic acid.

参考文献No.335499
标题:Zaleplon
作者:Mealy, N.; Casta馿r, J.
来源:Drugs Fut 1996,21(1),37
合成路线图解说明:

The condensation of N-(3-acetylphenyl)acetamide (I) with dimethylformamide dimethylacetal (II) at reflux temperature gives N-[3-[3-(dimethylamino)-2-propenoyl]phenyl]acetamide (III), which is alkylated with NaH and ethyl iodide to the corresponding N-ethyl derivative (IV). Finally, this compound is cyclized with 3-aminopyrazole-4-carbonitrile (V) in refluxing acetic acid.

Drug Information Express,Drug R&D,Chemical Database,Patent Search.
Copyright © 2006-2026 Drug Future. All rights reserved.Contact Us