【药物名称】Atliprofen methyl ester, IDPH-8261
化学结构式(Chemical Structure):
参考文献No.6106
标题:4-(3-Thienyl)phenylalkanoic acid derivs.
作者:Marwah, A.; Sastry, C.V.R.; Shridhar, D.R. (Indian Drugs & Pharmaceuticals Ltd.)
来源:DE 3537768
合成路线图解说明:

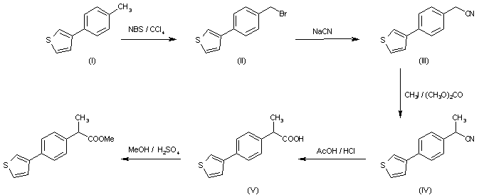
The reaction of 3 p-tolylthiophene (I) with N-bromosuccinimide in refluxing CCl4 in the presence of azobisisobutyronitrile or benzoyl peroxide as catalyst gives 4-(3-thienyl)benzyl bromide (II), which is converted to 4-(3-thienyl)phenylacetonitrile (III) by treatment with NaCN in refluxing dichloroethane using tetrabutyl ammonium hydrogen sulfate as catalyst Methylation of nitrile (III) with methyl iodide dimethylcarbonate in the presence of sodium methoxide, followed by acid hydrolysis of the resulting 4-(3-thienyl)phenyl-alpha-methylacetonitrile (IV) by refluxing with acetic acid hydrochloric acid (V), gives 4 (3-thienyl)phenyl-alpha-methylacetic acid (V), which is finally esterified by refluxing with CH3OH - H2SO4 to give IDPH-8261.

参考文献No.62986
标题:IDPH-8261
作者:Arya, V.P.
来源:Drugs Fut 1988,13(5),411
合成路线图解说明:

The reaction of 3 p-tolylthiophene (I) with N-bromosuccinimide in refluxing CCl4 in the presence of azobisisobutyronitrile or benzoyl peroxide as catalyst gives 4-(3-thienyl)benzyl bromide (II), which is converted to 4-(3-thienyl)phenylacetonitrile (III) by treatment with NaCN in refluxing dichloroethane using tetrabutyl ammonium hydrogen sulfate as catalyst Methylation of nitrile (III) with methyl iodide dimethylcarbonate in the presence of sodium methoxide, followed by acid hydrolysis of the resulting 4-(3-thienyl)phenyl-alpha-methylacetonitrile (IV) by refluxing with acetic acid hydrochloric acid (V), gives 4 (3-thienyl)phenyl-alpha-methylacetic acid (V), which is finally esterified by refluxing with CH3OH - H2SO4 to give IDPH-8261.

Drug Information Express,Drug R&D,Chemical Database,Patent Search.
Copyright © 2006-2026 Drug Future. All rights reserved.Contact Us