【药物名称】Rufinamide, E-2080, RUF-331, CGP-33101, Xilep
化学结构式(Chemical Structure):
参考文献No.5285
标题:Fluorinated benzyltriazole derivs.
作者:Meier, R. (Novartis AG)
来源:AU 8656319; EP 0199262; ES 8800176; ES 8802501; JP 1986243068
合成路线图解说明:

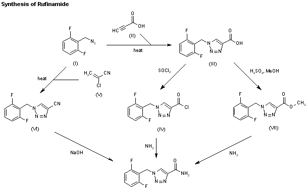
Rufinamide has been obtained by several related ways: 1) Cyclization of 2,6-difluorobenzyl azide (I) with 2-propynoic acid (II) in hot toluene gives 1-(2,6-difluorobenzyl)-1H-1,2,3-triazole-4-carboxylic acid (III), which is treated with refluxing SOCl2 to yield the corresponding acyl chloride (IV). Finally, this compound is treated with aqueous concentrated NH4OH. 2) Cyclization of 2,6-difluorobenyzl azide (I) with 2-chloroacrylonitrile (V) in hot water or n-heptane gives 1-(2,6-difluorobenzyl)-1H-1,2,3-triazole-4-carbonitrile (VI), which is treated with NaOH in hot toluene/water. 3) Esterification of 1-(2,6-difluorobenzyl)-1H-1,2,3-triazole-4-carboxylic acid (III) with methanol/H2SO4 gives the corresponding methyl ester (VII), which is treated with NH3 in hot methanol.

参考文献No.45761
标题:Process for preparing 1-substd. 4-cyano-1,2,3-triazoles
作者:Portmann, R. (Novartis AG)
来源:WO 9802423
合成路线图解说明:

Rufinamide has been obtained by several related ways: 1) Cyclization of 2,6-difluorobenzyl azide (I) with 2-propynoic acid (II) in hot toluene gives 1-(2,6-difluorobenzyl)-1H-1,2,3-triazole-4-carboxylic acid (III), which is treated with refluxing SOCl2 to yield the corresponding acyl chloride (IV). Finally, this compound is treated with aqueous concentrated NH4OH. 2) Cyclization of 2,6-difluorobenyzl azide (I) with 2-chloroacrylonitrile (V) in hot water or n-heptane gives 1-(2,6-difluorobenzyl)-1H-1,2,3-triazole-4-carbonitrile (VI), which is treated with NaOH in hot toluene/water. 3) Esterification of 1-(2,6-difluorobenzyl)-1H-1,2,3-triazole-4-carboxylic acid (III) with methanol/H2SO4 gives the corresponding methyl ester (VII), which is treated with NH3 in hot methanol.

参考文献No.45762
标题:Crystal modification of 1-(2,6-difluorobenzyl)-1H-1,2,3-triazole-4-carboxamide and its use as antiepileptic
作者:Burkhard, A.; Szelagiewicz, M.; Hofmeier, U.C.; Portmann, R.; Scherrer, W. (Novartis AG)
来源:WO 9856772; WO 9856773
合成路线图解说明:

Rufinamide has been obtained by several related ways: 1) Cyclization of 2,6-difluorobenzyl azide (I) with 2-propynoic acid (II) in hot toluene gives 1-(2,6-difluorobenzyl)-1H-1,2,3-triazole-4-carboxylic acid (III), which is treated with refluxing SOCl2 to yield the corresponding acyl chloride (IV). Finally, this compound is treated with aqueous concentrated NH4OH. 2) Cyclization of 2,6-difluorobenyzl azide (I) with 2-chloroacrylonitrile (V) in hot water or n-heptane gives 1-(2,6-difluorobenzyl)-1H-1,2,3-triazole-4-carbonitrile (VI), which is treated with NaOH in hot toluene/water. 3) Esterification of 1-(2,6-difluorobenzyl)-1H-1,2,3-triazole-4-carboxylic acid (III) with methanol/H2SO4 gives the corresponding methyl ester (VII), which is treated with NH3 in hot methanol.

参考文献No.599595
标题:Rufinamide
作者:Leeson, P.A.; Sorbera, L.A.; Rabasseda, X.; Casta馿r, J.
来源:Drugs Fut 2000,25(11),1145
合成路线图解说明:

Rufinamide has been obtained by several related ways: 1) Cyclization of 2,6-difluorobenzyl azide (I) with 2-propynoic acid (II) in hot toluene gives 1-(2,6-difluorobenzyl)-1H-1,2,3-triazole-4-carboxylic acid (III), which is treated with refluxing SOCl2 to yield the corresponding acyl chloride (IV). Finally, this compound is treated with aqueous concentrated NH4OH. 2) Cyclization of 2,6-difluorobenyzl azide (I) with 2-chloroacrylonitrile (V) in hot water or n-heptane gives 1-(2,6-difluorobenzyl)-1H-1,2,3-triazole-4-carbonitrile (VI), which is treated with NaOH in hot toluene/water. 3) Esterification of 1-(2,6-difluorobenzyl)-1H-1,2,3-triazole-4-carboxylic acid (III) with methanol/H2SO4 gives the corresponding methyl ester (VII), which is treated with NH3 in hot methanol.

Drug Information Express,Drug R&D,Chemical Database,Patent Search.
Copyright © 2006-2026 Drug Future. All rights reserved.Contact Us