【药物名称】Cerebrocrast, IOS-1.1212
化学结构式(Chemical Structure):
参考文献No.6016
标题:Alkoxy- and phenoxy-alkyl esters of 2,6-dimethyl-4-(2-difluoromethoxyphenyl)-1,4-dihydropyridine-3,5-dicarboxylic acid
作者:Makarova, N.V.; Biseniex, E.A.; Uldrikis, Y.R.; Dubur, G.Y.; Veveris, M.M.; Kimenis, A.A. (Latvian Institute of Organic Synthesis)
来源:FR 2587701
合成路线图解说明:

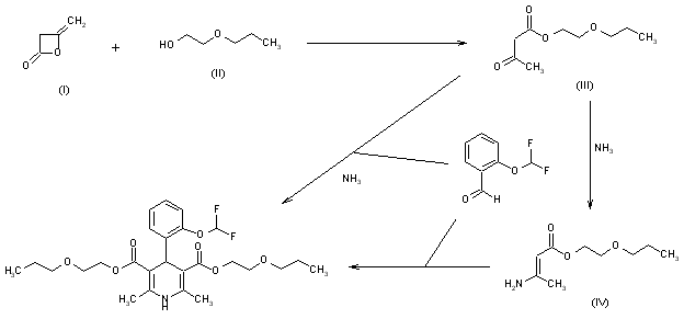
Cerebrocrast is prepared in Hantzsch-type reaction from 2-(propoxy)ethyl acetoacetate (III), 2-(difluoromethoxy)benzaldehyde and ammonia, or from 2-(propoxy)ethyl beta-aminocrotonate (IV) and 2-(difluoromethoxy)benzaldehyde. The necessary raw material, 2-(propoxy)ethyl acetoacetate (III), is prepared from 2-(propoxy)ethanole (II) by acetoacetylation with diketene (I).

参考文献No.100985
标题:Synthesis and selective vasodilating properties of esters of 2,6-dimethyl-4-(2-difluoromethoxyphenyl)-1,4-dihydropyridine-3,4-dicarboxylic acid
作者:Dubur, G.J.; Veveris, M.M.; Weinheimer, G.; Bisenieks, E.A.; Makarova, N.V.; Kimenis, A.A.; Uldrikis, J.R.; Lukevics, E.J.; Dooley, D.; Osswald, H.
来源:Arzneim-Forsch Drug Res 1989,39(10),1185-9
合成路线图解说明:

Cerebrocrast is prepared in Hantzsch-type reaction from 2-(propoxy)ethyl acetoacetate (III), 2-(difluoromethoxy)benzaldehyde and ammonia, or from 2-(propoxy)ethyl beta-aminocrotonate (IV) and 2-(difluoromethoxy)benzaldehyde. The necessary raw material, 2-(propoxy)ethyl acetoacetate (III), is prepared from 2-(propoxy)ethanole (II) by acetoacetylation with diketene (I).

参考文献No.284117
标题:Cerebrocrast
作者:Klusa, V.
来源:Drugs Fut 1995,20(2),135
合成路线图解说明:

Cerebrocrast is prepared in Hantzsch-type reaction from 2-(propoxy)ethyl acetoacetate (III), 2-(difluoromethoxy)benzaldehyde and ammonia, or from 2-(propoxy)ethyl beta-aminocrotonate (IV) and 2-(difluoromethoxy)benzaldehyde. The necessary raw material, 2-(propoxy)ethyl acetoacetate (III), is prepared from 2-(propoxy)ethanole (II) by acetoacetylation with diketene (I).

Drug Information Express,Drug R&D,Chemical Database,Patent Search.
Copyright © 2006-2026 Drug Future. All rights reserved.Contact Us