【药物名称】Secoverine
化学结构式(Chemical Structure):
参考文献No.57234
标题:Secoverine hydrochloride
作者:Serradell, M.N.; Thorpe, P.J.; Blancafort, P.; Casta馿r, J.
来源:Drugs Fut 1981,6(4),239
合成路线图解说明:

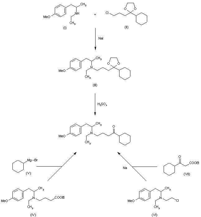
This compound can be obtained in three different ways: 1) The condensation of N-ethyl-N-(p-methoxy-alpha-methylphenylethyl)amine (I) with 2-cyclohexyl-2-(3-chloropropyl)-1,3-dioxolane (II) by means of NaI in refluxing butanone gives 2-[3-(N-ethyl)-N-(p-methoxy-alpha-methylphenylethyl)amino]propyl-2-cyclohexyl-1,3-dioxolane (III), which is hydrolyzed with H2SO4 in refluxing acetone. 2) By the Grignard reaction of cyclohexylmagnesium bromide (V) with 4-[N-ethyl-N-(p-methoxy-alpha-methylphenylethyl)amino]butyric acid ethyl ester (IV) in ether. 3) By condensation of 2-[N-ethyl-N-(p-methoxy-alpha-methylphenylethyl)amino]ethyl chloride (VI) with cyclohexoylacetic acid ethyl ester (VII) by means of sodium in hot toluene.

参考文献No.701360
标题:
作者:Hartog, J.; Zwagemakers, J.M.A.
来源:US 3996245
合成路线图解说明:

This compound can be obtained in three different ways: 1) The condensation of N-ethyl-N-(p-methoxy-alpha-methylphenylethyl)amine (I) with 2-cyclohexyl-2-(3-chloropropyl)-1,3-dioxolane (II) by means of NaI in refluxing butanone gives 2-[3-(N-ethyl)-N-(p-methoxy-alpha-methylphenylethyl)amino]propyl-2-cyclohexyl-1,3-dioxolane (III), which is hydrolyzed with H2SO4 in refluxing acetone. 2) By the Grignard reaction of cyclohexylmagnesium bromide (V) with 4-[N-ethyl-N-(p-methoxy-alpha-methylphenylethyl)amino]butyric acid ethyl ester (IV) in ether. 3) By condensation of 2-[N-ethyl-N-(p-methoxy-alpha-methylphenylethyl)amino]ethyl chloride (VI) with cyclohexoylacetic acid ethyl ester (VII) by means of sodium in hot toluene.

Drug Information Express,Drug R&D,Chemical Database,Patent Search.
Copyright © 2006-2026 Drug Future. All rights reserved.Contact Us