【药物名称】YM-17551
化学结构式(Chemical Structure):
参考文献No.5958
标题:(Substd. benzyl)thio heterocyclic cpds. having leukotriene-antagonist activity
作者:Mase, T.; Murase, K.; Tsuzuki, R.; Tomioka, K.; Hara, H. (Yamanouchi Pharmaceutical Co., Ltd.)
来源:EP 0214732; US 4803211; US 4933348; US 5180730
合成路线图解说明:

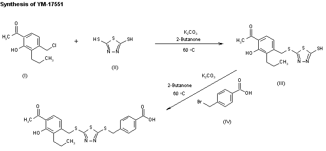
The reaction of 4-acetyl-3-hydroxy-2-propylbenzyl chloride (I) with 2,5-dimercapto-1,3,4-thiadiazole (II) in 2-butanone gives 2-[(4-acetyl-3-hydroxy-2-propylbenzyl)thio]-5-mercapto-1,3,4-thiadiazole (III), which is condensed with alpha-bromo-p-toluic acid (IV) in 2-butanone.

参考文献No.143941
标题:YM-17551
作者:Yamada, T.; Tomioka, K.; Mase, T.
来源:Drugs Fut 1990,15(9),905
合成路线图解说明:

The reaction of 4-acetyl-3-hydroxy-2-propylbenzyl chloride (I) with 2,5-dimercapto-1,3,4-thiadiazole (II) in 2-butanone gives 2-[(4-acetyl-3-hydroxy-2-propylbenzyl)thio]-5-mercapto-1,3,4-thiadiazole (III), which is condensed with alpha-bromo-p-toluic acid (IV) in 2-butanone.

Drug Information Express,Drug R&D,Chemical Database,Patent Search.
Copyright © 2006-2026 Drug Future. All rights reserved.Contact Us