【药物名称】Patamostat mesylate, E-3123
化学结构式(Chemical Structure):
参考文献No.6560
标题:Guanidinobenzoic ester deriv., a process for preparing same and pharmaceutical compsns. containing same
作者:Hishinuma, I.; Kawashima, H.; Kawata, T.; Miyamoto, K.; Miyazawa, S.; Nagakawa, J.; Nagaoka, J.; Nagaoka, N.; Shimomura, N.; Souda, S.; Ueda, N.; Wakabayashi, T.; Yamanaka, T. (Eisai Co., Ltd.)
来源:EP 0229370; JP 1987155253; JP 1994298730; US 4801603; US 5075335
合成路线图解说明:

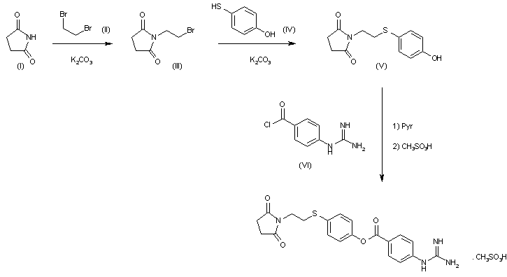
The alkylation of succinimide (I) with 1,2-dibromoethane (II) by means of K2CO3 in refluxing butanone gives N-(2-bromoethyl)succinimide (III), which is condensed with 4-hydroxythiophenol (IV) by means of K2CO3 in refluxing ethanol to afford 4-hydroxyphenyl 2-succinimidoethyl sulfide (V). Finally, this compound is esterified with 4-guanidinobenzoyl chloride in pyridine, and treated with methanesulfonic acid in methanol.

参考文献No.63022
标题:E-3123
作者:Prous, J.; Casta馿r, J.
来源:Drugs Fut 1988,13(7),613
合成路线图解说明:

The alkylation of succinimide (I) with 1,2-dibromoethane (II) by means of K2CO3 in refluxing butanone gives N-(2-bromoethyl)succinimide (III), which is condensed with 4-hydroxythiophenol (IV) by means of K2CO3 in refluxing ethanol to afford 4-hydroxyphenyl 2-succinimidoethyl sulfide (V). Finally, this compound is esterified with 4-guanidinobenzoyl chloride in pyridine, and treated with methanesulfonic acid in methanol.

Drug Information Express,Drug R&D,Chemical Database,Patent Search.
Copyright © 2006-2026 Drug Future. All rights reserved.Contact Us