【药物名称】Clofurenadine hydrochloride, (?-BN-1267
化学结构式(Chemical Structure):
参考文献No.369
标题:Furo[3,4-c]pyridine derivatives and therapeutic compositions containing the same
作者:Esanu, A. (SCRAS (Societ?de Conseils de Recherches et d'Applications Scientifiques))
来源:BE 0899222; CH 660191; GB 2137618; JP 1984193888; US 4581363; US 4735950
合成路线图解说明:

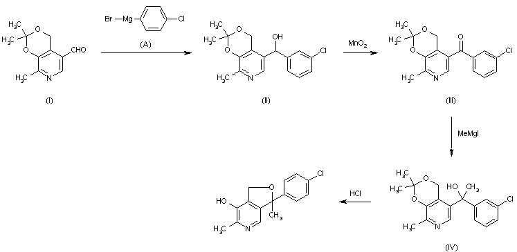
The synthesis of (rac)-BN-1267 is presented. The Grignard reaction of 2,2,8-trimethyl-5-formylpyrido[4,3-e]-1,3-dioxane (I) with 4-chloro phenyl magnesium bromide in refluxing ether gives 2,2,8-trimethyl-5-(4-chloro-alpha-hydroxybenzyl)pyrido[4,3-e]-1,3-dioxane (II), which by oxidation with MnO2 affords the corresponding ketone (III). The Grignard reaction of (III) with methyl maynesium iodide gives 2,2,8-trimethyl-5-(4-chloro-alpha-methyl-alpha-hydraxybenzyl)pyrido[4,3-e]-1,3-dioxane (IV), which is then hydrolyzed and cyclized by treatment with aqueous concentrated HCl.

参考文献No.57147
标题:Clofurenadine hydrochloride
作者:Esanu, A.; Etienne, A.; Laurent, J.-P.; Braquet, P.; Mencia Huerta, J.M. Clostre, F.; Touvay, C.
来源:Drugs Fut 1987,12(7),627
合成路线图解说明:

The synthesis of (rac)-BN-1267 is presented. The Grignard reaction of 2,2,8-trimethyl-5-formylpyrido[4,3-e]-1,3-dioxane (I) with 4-chloro phenyl magnesium bromide in refluxing ether gives 2,2,8-trimethyl-5-(4-chloro-alpha-hydroxybenzyl)pyrido[4,3-e]-1,3-dioxane (II), which by oxidation with MnO2 affords the corresponding ketone (III). The Grignard reaction of (III) with methyl maynesium iodide gives 2,2,8-trimethyl-5-(4-chloro-alpha-methyl-alpha-hydraxybenzyl)pyrido[4,3-e]-1,3-dioxane (IV), which is then hydrolyzed and cyclized by treatment with aqueous concentrated HCl.

参考文献No.700502
标题:
作者:De Salvia, R.; et al.
来源:J Meet Franco-Ital Pharmacol Soc (June, Paris) 1984,135(1-2),1
合成路线图解说明:

The synthesis of (rac)-BN-1267 is presented. The Grignard reaction of 2,2,8-trimethyl-5-formylpyrido[4,3-e]-1,3-dioxane (I) with 4-chloro phenyl magnesium bromide in refluxing ether gives 2,2,8-trimethyl-5-(4-chloro-alpha-hydroxybenzyl)pyrido[4,3-e]-1,3-dioxane (II), which by oxidation with MnO2 affords the corresponding ketone (III). The Grignard reaction of (III) with methyl maynesium iodide gives 2,2,8-trimethyl-5-(4-chloro-alpha-methyl-alpha-hydraxybenzyl)pyrido[4,3-e]-1,3-dioxane (IV), which is then hydrolyzed and cyclized by treatment with aqueous concentrated HCl.

Drug Information Express,Drug R&D,Chemical Database,Patent Search.
Copyright © 2006-2026 Drug Future. All rights reserved.Contact Us