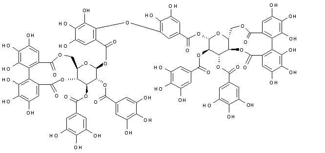
【药物名称】Coriariin A
化学结构式(Chemical Structure):
参考文献No.590010
标题:Elagitannin chemistry. The first total synthesis of a dimeric ellagitannin, coriariin A
作者:Lawlor, M.D.; Feldman, K.S.
来源:J Am Chem Soc 2000,122(30),7396
合成路线图解说明:

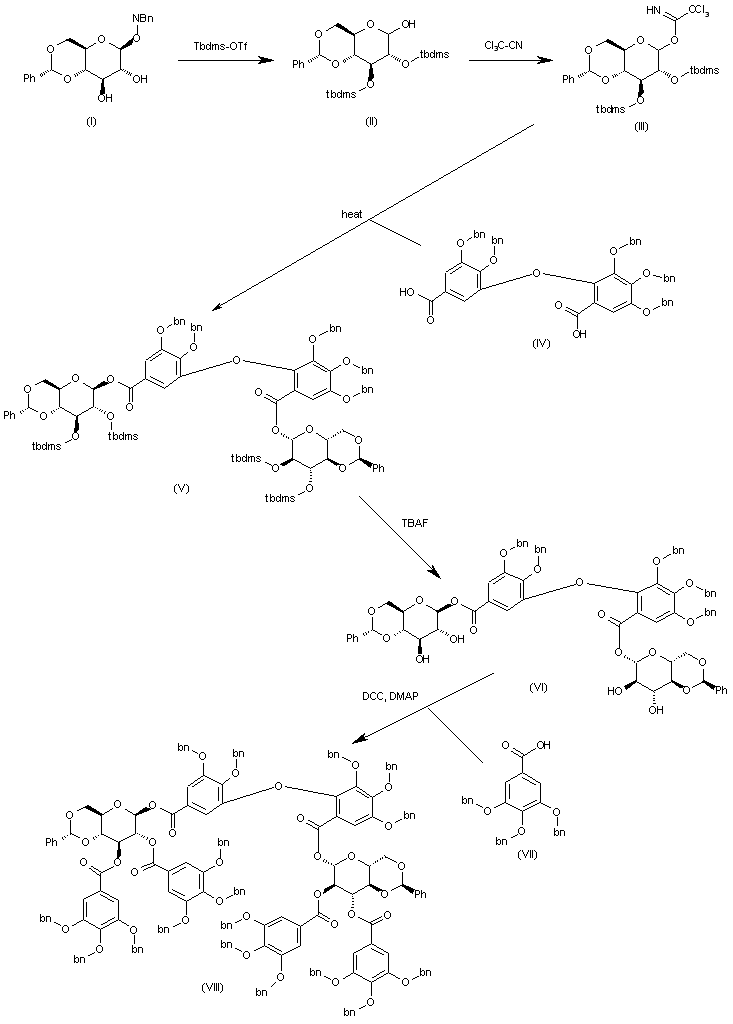
The silylation of the 2-nitrobenzyl glucoside (I) with Tbdms-OTf and lutidine, with simultaneous photochemical debenzylation, gives the protected glucose (II), which is treated with trichloroacetonitrile and NaOH to yield the trichloroacetimidate (III). The esterification of the dehydrodigalloyl acid (IV) with glucose (III) in refluxing benzene affords the protected glucose diester (V), which is desilylated by means of TBAF in acetic acid to afford the tetrahydroxy compound (VI). The esterification of the hydroxyl groups of (VI) with 3,4,5-tris(benzyloxy)benzoic acid (VII) by means of DCC and DMAP provides the hexaester (VIII).

合成路线图解说明:

Elimination of the acetal protecting groups of (VIII) with iodine in methanol gives the tetrahydroxy compound (IX), which is esterified with the protected trihydroxybenzoic acid (X) by means of DCC and DMAP to yield the octaester (XI).

合成路线图解说明:

The desilylation of (XI) by means of TBAF in acetic acid gives the tetrahydroxy compound (XII), which is submitted to an oxidative cyclization with Pb(OAc)4 and a hydrogenolytic debenzylation with H2 over Pd/C to afford the target compound, coriarlin A.

参考文献No.603225
标题:Ellagitannin chemistry. Evolution of a three-component coupling strategy for the synthesis of the dimeric ellagitannin coriariin A and a dimeric gallotannin analogue
作者:Feldman, K.S.; Lawlor, M.D.; Sahasrabudhe, K.
来源:J Org Chem 2000,65(23),8011
合成路线图解说明:

The silylation of the 2-nitrobenzyl glucoside (I) with Tbdms-OTf and lutidine, with simultaneous photochemical debenzylation, gives the protected glucose (II), which is treated with trichloroacetonitrile and NaOH to yield the trichloroacetimidate (III). The esterification of the dehydrodigalloyl acid (IV) with glucose (III) in refluxing benzene affords the protected glucose diester (V), which is desilylated by means of TBAF in acetic acid to afford the tetrahydroxy compound (VI). The esterification of the hydroxyl groups of (VI) with 3,4,5-tris(benzyloxy)benzoic acid (VII) by means of DCC and DMAP provides the hexaester (VIII).

合成路线图解说明:

Elimination of the acetal protecting groups of (VIII) with iodine in methanol gives the tetrahydroxy compound (IX), which is esterified with the protected trihydroxybenzoic acid (X) by means of DCC and DMAP to yield the octaester (XI).

合成路线图解说明:

The desilylation of (XI) by means of TBAF in acetic acid gives the tetrahydroxy compound (XII), which is submitted to an oxidative cyclization with Pb(OAc)4 and a hydrogenolytic debenzylation with H2 over Pd/C to afford the target compound, coriarlin A.

Drug Information Express,Drug R&D,Chemical Database,Patent Search.
Copyright © 2006-2026 Drug Future. All rights reserved.Contact Us