【药物名称】Zafirlukast, ICI-204219, Olmoran, Zafirst, Respix, Accoleit, Accolate
化学结构式(Chemical Structure):
参考文献No.5282
标题:Heterocyclic amide derivs
作者:Brown, F.J.; Bernstein, P.R.; Yee, Y.K.; Matassa, V.G. (AstraZeneca LP)
来源:AU 8656164; EP 0199543; EP 0220066; ES 8801787; ES 8802220; ES 8802493; ES 8802494; JP 1987093274; JP 1987099359; US 4859692; US 4918094; US 5030643; US 5049576; US 5179112
合成路线图解说明:

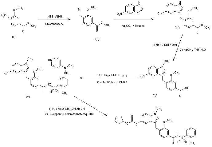
Bromination of methyl 3-methoxy-4-methylbenzoate (I) with N-bromosuccinimide in the presence of catalytic amounts of 2,2'-azabisisobutyronitrile in chlorobenzene yields benzylic bromide (II). This compound is coupled with 5-nitroindole via treatment with Ag2CO3 in toluene to afford methyl 4-(5-nitroindol-3-ylmethyl)-3-methoxybenzoate (III). N-Methylation of ester (III), using NaH and MeI in DMF, followed by hydrolysis with NaOH in aqueous THF, affords 4-(5-nitro-1-methylindol-3-ylmethyl)-3-methoxybenzoic acid (IV). Conversion of acid (IV) to the sulfonimide derivative (V) is achieved by sequentially treating (IV) with: (i) SOCl2 plus a catalytic amount of DMF in dichloromethane and (ii) o-tolylsulfonamide and 4-(N,N-dimethylamino)pyridine (DMAP). This intermediate sulfonimide is isolated as the DMAP salt (V), which is converted to ICI 204219 via treatment with H2 over Pd/C in alkaline aqueous methoxyethanol, followed by acylation with cyclopentylchloroformate.

参考文献No.18110
标题:A physical form of N-[4-[5-(cyclopentyloxycarbonylamino)-1-methyl-indol-3-ylmethyl]-3-methoxybenzoyl]-2-methylbenzenesulfonamide, a process for its preparation and pharmaceutical compsns. containing it
作者:Edwards, M.P.; Sherwood, J.D. (AstraZeneca plc)
来源:EP 0490649; US 5294636
合成路线图解说明:

Bromination of methyl 3-methoxy-4-methylbenzoate (I) with N-bromosuccinimide in the presence of catalytic amounts of 2,2'-azabisisobutyronitrile in chlorobenzene yields benzylic bromide (II). This compound is coupled with 5-nitroindole via treatment with Ag2CO3 in toluene to afford methyl 4-(5-nitroindol-3-ylmethyl)-3-methoxybenzoate (III). N-Methylation of ester (III), using NaH and MeI in DMF, followed by hydrolysis with NaOH in aqueous THF, affords 4-(5-nitro-1-methylindol-3-ylmethyl)-3-methoxybenzoic acid (IV). Conversion of acid (IV) to the sulfonimide derivative (V) is achieved by sequentially treating (IV) with: (i) SOCl2 plus a catalytic amount of DMF in dichloromethane and (ii) o-tolylsulfonamide and 4-(N,N-dimethylamino)pyridine (DMAP). This intermediate sulfonimide is isolated as the DMAP salt (V), which is converted to ICI 204219 via treatment with H2 over Pd/C in alkaline aqueous methoxyethanol, followed by acylation with cyclopentylchloroformate.

参考文献No.120955
标题:Evolution of a series of peptidoleukotriene antagonists: Synthesis and structure/activity relationships of 1,3,5-substituted indoles and indazoles
作者:Aharony, D.; Snyder, D.W.; Keith, R.A.; Shapiro, H.S.; Matassa, V.G.; Maduskuie, T.P. Jr.; Hesp, B.; Krell, R.D.
来源:J Med Chem 1990,33(6),1781
合成路线图解说明:

Bromination of methyl 3-methoxy-4-methylbenzoate (I) with N-bromosuccinimide in the presence of catalytic amounts of 2,2'-azabisisobutyronitrile in chlorobenzene yields benzylic bromide (II). This compound is coupled with 5-nitroindole via treatment with Ag2CO3 in toluene to afford methyl 4-(5-nitroindol-3-ylmethyl)-3-methoxybenzoate (III). N-Methylation of ester (III), using NaH and MeI in DMF, followed by hydrolysis with NaOH in aqueous THF, affords 4-(5-nitro-1-methylindol-3-ylmethyl)-3-methoxybenzoic acid (IV). Conversion of acid (IV) to the sulfonimide derivative (V) is achieved by sequentially treating (IV) with: (i) SOCl2 plus a catalytic amount of DMF in dichloromethane and (ii) o-tolylsulfonamide and 4-(N,N-dimethylamino)pyridine (DMAP). This intermediate sulfonimide is isolated as the DMAP salt (V), which is converted to ICI 204219 via treatment with H2 over Pd/C in alkaline aqueous methoxyethanol, followed by acylation with cyclopentylchloroformate.

参考文献No.241053
标题:Accolate
作者:Bernstein, P.R.
来源:Drugs Fut 1994,19(3),217
合成路线图解说明:

Bromination of methyl 3-methoxy-4-methylbenzoate (I) with N-bromosuccinimide in the presence of catalytic amounts of 2,2'-azabisisobutyronitrile in chlorobenzene yields benzylic bromide (II). This compound is coupled with 5-nitroindole via treatment with Ag2CO3 in toluene to afford methyl 4-(5-nitroindol-3-ylmethyl)-3-methoxybenzoate (III). N-Methylation of ester (III), using NaH and MeI in DMF, followed by hydrolysis with NaOH in aqueous THF, affords 4-(5-nitro-1-methylindol-3-ylmethyl)-3-methoxybenzoic acid (IV). Conversion of acid (IV) to the sulfonimide derivative (V) is achieved by sequentially treating (IV) with: (i) SOCl2 plus a catalytic amount of DMF in dichloromethane and (ii) o-tolylsulfonamide and 4-(N,N-dimethylamino)pyridine (DMAP). This intermediate sulfonimide is isolated as the DMAP salt (V), which is converted to ICI 204219 via treatment with H2 over Pd/C in alkaline aqueous methoxyethanol, followed by acylation with cyclopentylchloroformate.

Drug Information Express,Drug R&D,Chemical Database,Patent Search.
Copyright © 2006-2026 Drug Future. All rights reserved.Contact Us