【药物名称】Temocapril hydrochloride, CS-622, RS-5142, Acecol
化学结构式(Chemical Structure):
参考文献No.3193
标题:Perhydrothiazepine derivatives, their preparation and their therapeutical use
作者:Yanagisawa, H.; Ishihara, S.; Ando, A.; Kanazaki, T.; Koike, H.; Tsujita, Y. (Sankyo Co., Ltd.)
来源:AU 8541058; EP 0161801; ES 8702388; ES 8801229; JP 85215678; JP 86267579
合成路线图解说明:

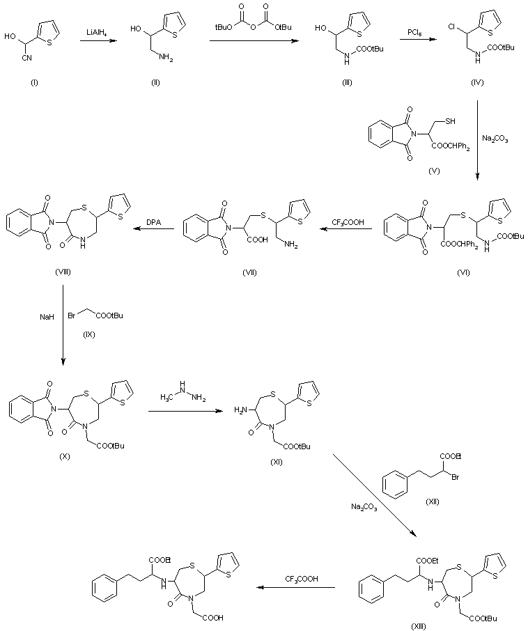
1) The reduction of 2-thiophenecarboxaldehyde cyanohydrin (I) with LiAlH4 gives 2-amino-1-(2-thienyl)ethanol (II), which is N-protected with di-tert-butyl pyrocarbonate yielding 2-(tert-butoxycarbonylamino)-1-(2-thienyl)ethanol (III). The reaction of (III) with PCl5 in dichloromethane affords 2-(tert-butoxycarbonylamino)-1-chloro-1-(2-thienyl)ethane (IV), which is condensed with benzhydryl N-phthaloylcysteinate (V) by means of Na2CO3 in hot DMF giving the S-substituted cysteinate (VI). The deprotection of (VI) with trifluoroacetic acid in anisole yields S-[2-amino-1-(2-thienyl)ethyl]-N-phthaloylcysteine (VII), which is cyclized by means of diphenylphosphoryl azide (DPA) in DMF giving 6-phthalimido-2-(2-thienyl)perhydro-1,4-thiazepin-5-one (VIII). The condensation of (VIII) with tert-butyl bromoacetate (IX) by means of NaH in DMF affords tert-butyl 2-[6-phthalimido-5-oxo-2-(2-thienyl)perhydro-1,4-thiazepin-4-yl]acetate (X), which is treated with methylhydrazine in methanol-dichloromethane yielding the 6-amino derivative (XI). The condensation of (XI) with ethyl 2-bromo-4-phenylbutyrate (XII) by means of Na2CO3 in hot DMF gives the tert-butyl ester of the desired product (XIII), which is finally deprotected with trifluoroacetic acid in anisole.

合成路线图解说明:

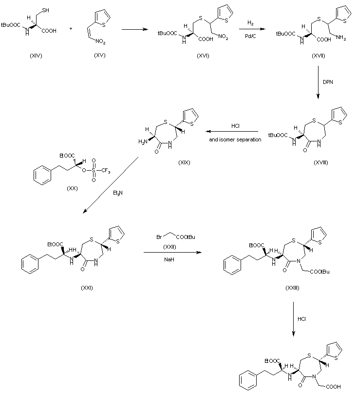
2) The addition of tert-butoxycarbonyl)-L-cysteine (XIV) to 2-(2-nitroethenyl)thiophene (XV) by means of N-methylmorpholine in toluene gives S-[2-nitro-1-(2-thienyl)ethyl-N-(tert-butoxycarbonyl-L-cysteine (XVI), which is reduced with H2 over Pd/C in acetic acid yielding the corresponding amine (XVII). The cyclization of (XVII) by means of diphenyl phosphorazidate (DPN) and N-methylmorpholine in DMF affords (2RS,6R)-6-(tert-butoxycarbonylamino)-2-(2-thienyl)perhydro-1,4-thiazepine (XVIII), which by hydrolysis and fractional crystallization gives (2S,6R)-6-amino-2-(2-thienyl)perhydro-1,4-thiazepine (XIX). The condensation of (XIX) with ethyl 2(R)-(trifluoromethylsulfonyloxy)-4-phenylbutanoate (XX) by means of triethylamine in dichloromethane yields (2S,2R)-6-[1(S)-(ethoxycarbonyl)-3-phenylpropylamino]-2-(2-thienyl)- perhydro-1,4-thiazepin-5-one (XXI), which is condensed with tert-butyl bromoacetate (XXII) by means of NaH in DMF to give the precursor (XXIII). Finally, this compound is hydrolyzed with 4N-HCl-dioxane at room temperature.

参考文献No.79243
标题:RS-5142
作者:Prous, J.; Casta馿r, J.
来源:Drugs Fut 1989,14(4),336
合成路线图解说明:

1) The reduction of 2-thiophenecarboxaldehyde cyanohydrin (I) with LiAlH4 gives 2-amino-1-(2-thienyl)ethanol (II), which is N-protected with di-tert-butyl pyrocarbonate yielding 2-(tert-butoxycarbonylamino)-1-(2-thienyl)ethanol (III). The reaction of (III) with PCl5 in dichloromethane affords 2-(tert-butoxycarbonylamino)-1-chloro-1-(2-thienyl)ethane (IV), which is condensed with benzhydryl N-phthaloylcysteinate (V) by means of Na2CO3 in hot DMF giving the S-substituted cysteinate (VI). The deprotection of (VI) with trifluoroacetic acid in anisole yields S-[2-amino-1-(2-thienyl)ethyl]-N-phthaloylcysteine (VII), which is cyclized by means of diphenylphosphoryl azide (DPA) in DMF giving 6-phthalimido-2-(2-thienyl)perhydro-1,4-thiazepin-5-one (VIII). The condensation of (VIII) with tert-butyl bromoacetate (IX) by means of NaH in DMF affords tert-butyl 2-[6-phthalimido-5-oxo-2-(2-thienyl)perhydro-1,4-thiazepin-4-yl]acetate (X), which is treated with methylhydrazine in methanol-dichloromethane yielding the 6-amino derivative (XI). The condensation of (XI) with ethyl 2-bromo-4-phenylbutyrate (XII) by means of Na2CO3 in hot DMF gives the tert-butyl ester of the desired product (XIII), which is finally deprotected with trifluoroacetic acid in anisole.

合成路线图解说明:

2) The addition of tert-butoxycarbonyl)-L-cysteine (XIV) to 2-(2-nitroethenyl)thiophene (XV) by means of N-methylmorpholine in toluene gives S-[2-nitro-1-(2-thienyl)ethyl-N-(tert-butoxycarbonyl-L-cysteine (XVI), which is reduced with H2 over Pd/C in acetic acid yielding the corresponding amine (XVII). The cyclization of (XVII) by means of diphenyl phosphorazidate (DPN) and N-methylmorpholine in DMF affords (2RS,6R)-6-(tert-butoxycarbonylamino)-2-(2-thienyl)perhydro-1,4-thiazepine (XVIII), which by hydrolysis and fractional crystallization gives (2S,6R)-6-amino-2-(2-thienyl)perhydro-1,4-thiazepine (XIX). The condensation of (XIX) with ethyl 2(R)-(trifluoromethylsulfonyloxy)-4-phenylbutanoate (XX) by means of triethylamine in dichloromethane yields (2S,2R)-6-[1(S)-(ethoxycarbonyl)-3-phenylpropylamino]-2-(2-thienyl)- perhydro-1,4-thiazepin-5-one (XXI), which is condensed with tert-butyl bromoacetate (XXII) by means of NaH in DMF to give the precursor (XXIII). Finally, this compound is hydrolyzed with 4N-HCl-dioxane at room temperature.

参考文献No.79267
标题:Angiotensin-converting enzyme inhibitors: Perhydro-1,4-thiazepin-5-one derivatives
作者:Ishihara, S.; Ando, A.; Miyamoto, S.; Kanazaki, T.; Hata, T.; Oizumi, K.; Matsushita, Y.; Koike, H.; Yanagisawa, H.; Iijima, Y.
来源:J Med Chem 1987,30(11),1984
合成路线图解说明:

1) The reduction of 2-thiophenecarboxaldehyde cyanohydrin (I) with LiAlH4 gives 2-amino-1-(2-thienyl)ethanol (II), which is N-protected with di-tert-butyl pyrocarbonate yielding 2-(tert-butoxycarbonylamino)-1-(2-thienyl)ethanol (III). The reaction of (III) with PCl5 in dichloromethane affords 2-(tert-butoxycarbonylamino)-1-chloro-1-(2-thienyl)ethane (IV), which is condensed with benzhydryl N-phthaloylcysteinate (V) by means of Na2CO3 in hot DMF giving the S-substituted cysteinate (VI). The deprotection of (VI) with trifluoroacetic acid in anisole yields S-[2-amino-1-(2-thienyl)ethyl]-N-phthaloylcysteine (VII), which is cyclized by means of diphenylphosphoryl azide (DPA) in DMF giving 6-phthalimido-2-(2-thienyl)perhydro-1,4-thiazepin-5-one (VIII). The condensation of (VIII) with tert-butyl bromoacetate (IX) by means of NaH in DMF affords tert-butyl 2-[6-phthalimido-5-oxo-2-(2-thienyl)perhydro-1,4-thiazepin-4-yl]acetate (X), which is treated with methylhydrazine in methanol-dichloromethane yielding the 6-amino derivative (XI). The condensation of (XI) with ethyl 2-bromo-4-phenylbutyrate (XII) by means of Na2CO3 in hot DMF gives the tert-butyl ester of the desired product (XIII), which is finally deprotected with trifluoroacetic acid in anisole.

合成路线图解说明:

2) The addition of tert-butoxycarbonyl)-L-cysteine (XIV) to 2-(2-nitroethenyl)thiophene (XV) by means of N-methylmorpholine in toluene gives S-[2-nitro-1-(2-thienyl)ethyl-N-(tert-butoxycarbonyl-L-cysteine (XVI), which is reduced with H2 over Pd/C in acetic acid yielding the corresponding amine (XVII). The cyclization of (XVII) by means of diphenyl phosphorazidate (DPN) and N-methylmorpholine in DMF affords (2RS,6R)-6-(tert-butoxycarbonylamino)-2-(2-thienyl)perhydro-1,4-thiazepine (XVIII), which by hydrolysis and fractional crystallization gives (2S,6R)-6-amino-2-(2-thienyl)perhydro-1,4-thiazepine (XIX). The condensation of (XIX) with ethyl 2(R)-(trifluoromethylsulfonyloxy)-4-phenylbutanoate (XX) by means of triethylamine in dichloromethane yields (2S,2R)-6-[1(S)-(ethoxycarbonyl)-3-phenylpropylamino]-2-(2-thienyl)- perhydro-1,4-thiazepin-5-one (XXI), which is condensed with tert-butyl bromoacetate (XXII) by means of NaH in DMF to give the precursor (XXIII). Finally, this compound is hydrolyzed with 4N-HCl-dioxane at room temperature.

Drug Information Express,Drug R&D,Chemical Database,Patent Search.
Copyright © 2006-2026 Drug Future. All rights reserved.Contact Us