【药物名称】Bicalutamide, ICI-176334, Raffolutil, Casodex
化学结构式(Chemical Structure):
参考文献No.8404
标题:Amide derivs.
作者:Tucker, H. (AstraZeneca plc)
来源:EP 0100172; JP 1990131462; US 4636505
合成路线图解说明:

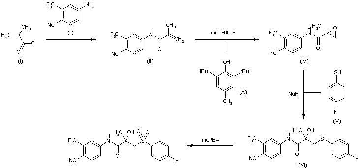
Coupling of methacryloyl chloride (I) with substituted aniline (II) in dimethylacetamide yields amide (III), which is then converted into the epoxy derivative (IV) by oxidation with m-chloroperbenzoic acid (mCPBA) and 4-methyl-2,6-di-tert-butylphenol (A) in refluxing 1,1,1-trichloroethane. Condensation of (IV) with thiol (V) by means of NaH in THF provides fluorophenylthio derivative (VI), which is finally oxidized with mCPBA in CH2Cl2 to furnish the desired compound trichloroethane.

参考文献No.86747
标题:Nonsteroidal antiandrogens. Synthesis and structure-activity relationships of 3-substituted derivatives of 2-hydroxypropionanilides
作者:Tucker, H.; Crook, J.W.; Chesterson, G.J.
来源:J Med Chem 1988,31(5),954
合成路线图解说明:

Coupling of methacryloyl chloride (I) with substituted aniline (II) in dimethylacetamide yields amide (III), which is then converted into the epoxy derivative (IV) by oxidation with m-chloroperbenzoic acid (mCPBA) and 4-methyl-2,6-di-tert-butylphenol (A) in refluxing 1,1,1-trichloroethane. Condensation of (IV) with thiol (V) by means of NaH in THF provides fluorophenylthio derivative (VI), which is finally oxidized with mCPBA in CH2Cl2 to furnish the desired compound trichloroethane.

参考文献No.683578
标题:A two-step synthesis of the anti-cancer drug (R,S)-bicalutamide
作者:Ekwuribe, N.N.; James, K.D.
来源:Synthesis (Stuttgart) 2002,(7),850
合成路线图解说明:

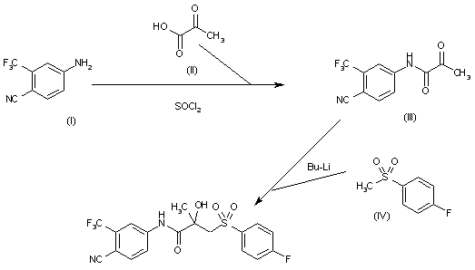
The reaction of 4-amino-2-(trifluoromethyl)benzonitrile (I) with 2-oxopropionic acid (II) by means of SOCl2 gives the corresponding amide (III), which is finally condensed with the methyl sulfone (IV) by means of BuLi in THF.

Drug Information Express,Drug R&D,Chemical Database,Patent Search.
Copyright © 2006-2026 Drug Future. All rights reserved.Contact Us